#mathmagician
I think the difference is about ten years btw but I'm no mathmagician
November 13, 2025 at 12:43 AM
If you’ve never used Inpredictable, it’s a great website and the win probability added tool is awesome because it combines analytics with entertainment, which perfectly describes a mathmagician
With tonight's performance, Jalen Brunson has almost overtaken Jokic in clutch win probability added.

He currently leads the league in clutch win probability added through field goal shooting.

stats.inpredictable.com/nba/jerryWes...
March 1, 2025 at 5:26 AM
Had an epiphany for the Mathmagician class in the game yesterday in an ADHD induced fit of knowledge absorption for music production:

A system based on the circle of fifths.

Oh boy did I just add a new project to the stack or what
January 7, 2025 at 5:05 PM
Sorry, it's 20. 20 power. Still 4x the power for double the output.

I'm no mathmagician, but that seems...dopey.
November 16, 2023 at 5:48 PM
I'm not a mathmagician, but I find these reminders helpful.
January 6, 2025 at 3:59 AM
Two sentences. But who's counting? I'm an author, not a mathmagician.
December 9, 2024 at 7:39 AM
I'm no mathmagician, but wouldn't reducing prices 1500% mean they'd be paying people to take the drugs?
September 26, 2025 at 2:28 AM
"You have errors and gaps all over these logs! Honestly, it's miracle you aren't in a jail somewhere with all this spotty work!"

"Wut can I say, I be a sailor, not a mathmagician~"

A gpose story featuring @giraffequeenxiv.bsky.social , stay tuned~

#Gposers #Ffxivnsfw #Ffxivlewd #Elezen #Miqote
April 28, 2025 at 5:55 PM
I'm no MathMagician, but I hear economic arrows pointing down toward the ground foretell something doomy.
August 22, 2025 at 2:23 PM
Mom I never wanted to be a mathmagician...... q_q
February 11, 2025 at 7:22 PM
Mathmagician: Sorry, I was thinking of the number e
May 4, 2025 at 9:30 AM
im not a mathmagician but that sounds so correct
October 6, 2025 at 8:27 PM
I love the idea of being a math magician 🪄🎩🐰(though math isn’t about tricks). She meant mathematician. The magic truly happens when mathematicians make sense of and solve problems together. #iteach #iteachmath #mathmagician
December 9, 2024 at 2:03 AM
I'm no mathmagician, but that's almost exactly 10%.
Day 146/1,461 of replacing the terrible news on your feed with beautiful #photography 📸

📍 LBI NJ
June 16, 2025 at 6:34 AM
"Mathmagician"
October 2, 2025 at 6:49 PM
Interesting read!

Remember the Mathmagician from Jurassic Park saying that we couldn't wipe out all life, just ourselves?

THE PLANET DOESN'T NEED US. WE NEED HER.
One time I was in Iceland for an Eve Online event, and for bizarre reasons I was having lunch with a bunch of physicists and biologists and chemists.

And I made a joke about one of them becoming a super villain and ending all life on the planet. Which started a bonkers conversation! 🧵
October 23, 2025 at 5:38 AM
Major Shepard: Mathmagician
October 11, 2024 at 4:20 AM
My mom took Tylenol when she was pregnant with me, which made me a mathmagician as a career and a working artist because I use both sides of my brain. The money I made from selling my art is how I was able to buy my house. 😉
September 23, 2025 at 4:58 AM
Jobs added doesn’t people are getting job? Ha Ha Ha. What’re you, a mathmagician?
December 30, 2024 at 3:44 AM
I'm no mathmagician, but sometimes it seems like the venn diagram of transphobia and narcissism is a circle
September 3, 2025 at 9:38 PM
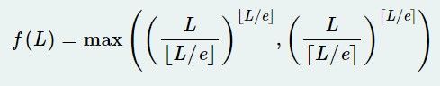
Zax (no relation to @xaqwg?) the #MathMagician must be doing a #lightShow, as his wand yields a product very close to the distance of 1 lightyear in meters, on #ThisWeeksRiddler Express. #MathMagic #Optimization

davidyding.com/navPages/riddl…
January 28, 2025 at 8:09 PM
The Curse of the Mathmagician! #HorribleRPGplotlines
December 8, 2024 at 6:52 AM
The joy of family for the holidays is the moment when the mathmagician is 2 beers in and holds up four fingers when asked how many drinks theyve had...
December 28, 2024 at 1:55 AM
My 7yo called herself a ‘mathmagician’ today, and this is also what I would like to be called from now on.

#stats #PsychSciSky
December 23, 2023 at 5:50 PM