Aleksi Hamina
banner
aleksihamina.bsky.social
Aleksi Hamina
@aleksihamina.bsky.social
Pharmacist and reseacher with an interest in all things science 🧪 #medsky #episky #psychiatry

Investigating substance use disorders, severe mental health disorders, opioid analgesics, and epidemiology of medication use with Nordic healthcare data.
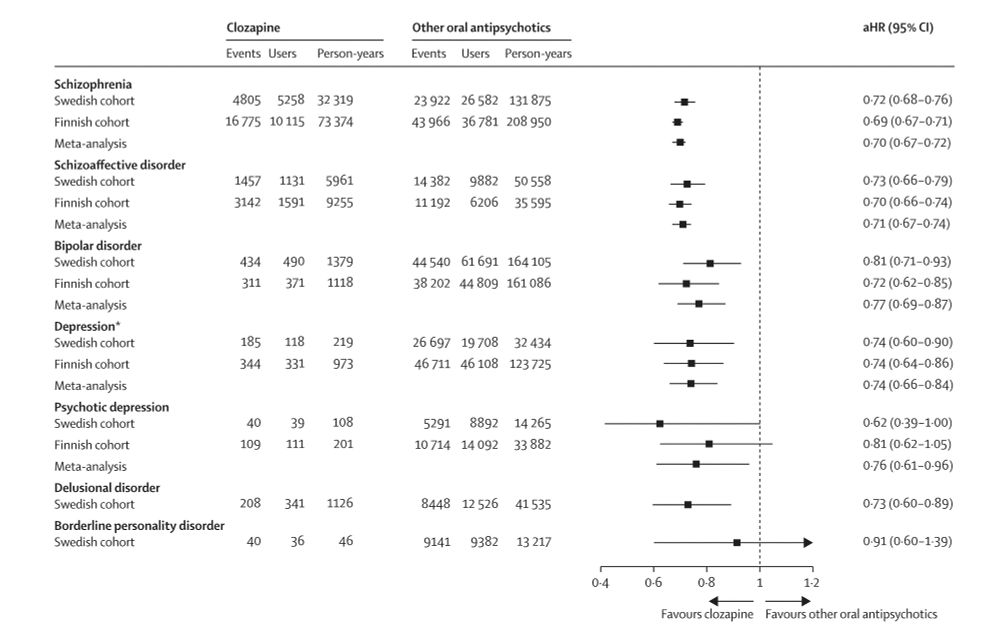
Reposted by Aleksi Hamina
"clozapine is more effective than other oral antipsychotics in reducing psychiatric hospitalisations and several secondary outcomes in schizophrenia-spectrum disorders, bipolar disorder, inpatient-treated major depressive disorder, & psychotic depression"

Article:
www.thelancet.com/journals/lan...
Transdiagnostic effectiveness and safety of clozapine in individuals with psychotic, affective, and personality disorders: nationwide and meta-analytic comparisons with other antipsychotics
These findings support the transdiagnostic effectiveness and safety of clozapine, particularly in schizophrenia-spectrum disorders, bipolar disorder, and severe depression. Given the overall consisten...
www.thelancet.com
November 3, 2025 at 8:42 AM
New study out in @thelancetpsych.bsky.social!

Clozapine was associated with reduced psychiatric hospitalisations compared with other oral antipsychotics across several psychotic and affective disorders, but not borderline personality disorder.

Free access!
authors.elsevier.com/c/1m2747tf1d...
November 3, 2025 at 7:41 AM
Reposted by Aleksi Hamina
🧪 Weighing the risks: new review ranks antidepressants by their physical health side effects

Antidepressants help many, but how do they affect heart health, weight, blood pressure, or glucose?

New Lancet review (out today!) compared 30 meds across 58k ppl.

🧵 THREAD

#Antidepressants #SideEffects
October 22, 2025 at 6:41 AM
Reposted by Aleksi Hamina
🧠 Treating ADHD in psychosis: What does the evidence say about safety?

New research tracked over 9,000 people with schizophrenia spectrum disorders over 9 years.

What happened when they were prescribed ADHD medication? 🧵

#ADHD #Psychosis #MentalHealthResearch #Schizophrenia
October 6, 2025 at 6:41 AM
Reposted by Aleksi Hamina
Olisiko hyvä idea, jos yliopistolla aloittava uusi professori saisi miljoonan euron aloituspaketin voidakseen rakentaa omaa tutkimusryhmäänsä?

Jos hyvällä aloituspaketilla tuettu professuuri Itä-Suomen yliopistossa kiinnostaa, ks. toimintaohjeet uutisestamme.

www.uef.fi/fi/artikkeli...
Itä-Suomen yliopistolta 4 miljoonaa euroa kansainvälisten huippuprofessoreiden rekrytointeihin
Itä-Suomen yliopisto tavoittelee korkean kansainvälisen tason tutkijoita vakituisiin ja kokoaikaisiin professuureihin uusilla ja mittavilla rekrytointipaketeilla.
www.uef.fi
October 2, 2025 at 11:00 AM
Reposted by Aleksi Hamina
Should we start meds for #opioid use disorder like buprenorphine in jail?

Yes. Associated with 50% lower overdose risk and lower risk of reincarnation:
www.ncbi.nlm.nih.gov/pubmed/40929...

Evidence grade: Moderate (5/10)
chrisaikenmd.com/ebm/

▪ 13% of US jails provide it
Art: Van Gogh
September 19, 2025 at 12:03 PM
Reposted by Aleksi Hamina
New APA delirium guideline says NO to antipsychotics unless severe danger/distress. They failed in large trials:
www.psychiatry.org/getmedia/51e...

Use non-pharm approaches (and address underlying cause) in all patients, such as table 9:
pmc.ncbi.nlm.nih.gov/articles/PMC...
September 5, 2025 at 12:01 PM
Reposted by Aleksi Hamina
1- Stopping an antidepressant causes, on average one more discontinuation symptom than not stopping it, according to a systematic review and meta-analysis of 50 studies involving 17,282 participants.

#medsky #psychsky

jamanetwork.com/journals/jam...
July 12, 2025 at 3:28 PM
Interesting new analysis of ADHD meds in schizophrenia-spectrum disorders: reduced risk of psychosis with atomoxetine and reduced risk for somatic hospitalizations with lisdexamphetamine.

Higher somatic hospitalization with polytherapy, no other negative safety signals. #psychiatry #medsky
July 5, 2025 at 8:11 AM
Reposted by Aleksi Hamina
Pramipexole lifted treatment-resistant #depression with large effect size (0.87) in 48-wk, placebo-controlled augmentation trial of 150
pubmed.ncbi.nlm.nih.gov/40602411

Used 2.5mg as high dose works better in TRD (vs 1.5mg) but more side effects

How to use:
www.thecarlatreport.com/articles/308...
July 4, 2025 at 12:09 PM
Reposted by Aleksi Hamina
I gotta say I find a lot of AI discourse around higher ed very confusing. "if ChatGPT can write your essays is college even worth it?" did people think math teachers were assigning problem sets because *they* couldn't figure out the answers?
June 30, 2025 at 2:15 PM
Reposted by Aleksi Hamina
People with #schizophrenia lived longer on #clozapine than other antipsychotics in this 11-year study of 41,695 from Hong Kong, confirming earlier findings:
www.ncbi.nlm.nih.gov/pubmed/40412...

Long-acting injectables (LAIs) also had an edge, particularly paliperidone.

#psychiatry #pmhnp
June 12, 2025 at 2:03 PM
Small (N=31) but important phase 2 trial in @thelancetpsych.bsky.social indicates semaglutide is safe and effective in people with schizophrenia on clozapine: 13.9% mean weight loss in 3 years with no difference in PANSS scores or clozapine levels. doi.org/10.1016/S221... #medsky #psychiatry
June 12, 2025 at 10:23 AM
Extremely interesting narrative review on lithium's potential as a disease-modifying drug in bipolar disorder published in @thelancetpsych.bsky.social #medsky #psychiatry
June 12, 2025 at 8:06 AM
Reposted by Aleksi Hamina
Varenicline, combined with behavioral counseling, increased vaping abstinence in youth who vape nicotine and do not regularly smoke tobacco.

https://ja.ma/4jvML5W
June 4, 2025 at 10:00 AM
Reposted by Aleksi Hamina
1- New international guidelines for algorithmic treatment (INTEGRATE) of #schizophrenia were just published:

#medsky

www.thelancet.com/journals/lan... (paywall, unfortunately)
May 23, 2025 at 5:39 AM
Our new study, published in PAIN, analyzed age-standardized mortality in 116,006 non-cancer long-term users of opioids. Multifold risk of mortality vs the general population, especially due to suicide, accidents, and accidental poisoning.
www.doi.org/10.1097/j.pain.0000000000003653
#medsky 🧪 #episky
May 16, 2025 at 7:11 AM
New study on 3357 Canadian hypertension patients (followed on median 4.6 years) showed no difference between morning vs. bedtime dosing for CV outcomes, casting further doubt on the dramatic results of the MAPEC and Hygia trials.

www.doi.org/10.1001/jama.2025.4390
#medsky 🧪
May 13, 2025 at 7:02 AM
New study from our group! In a Swedish cohort of 1772 individuals with cannabis-induced psychosis, antipsychotics and especially LAIs, were effective in preventing re-hospitalization.

Open access! Published in the British Journal of Psychiatry
www.doi.org/10.1192/bjp.2025.72
May 7, 2025 at 8:16 AM
Reposted by Aleksi Hamina
The average longest duration between ANC checks was 88 days, consistent with a 2020 consensus guideline recommending quarterly in patients with continuous clozapine treatment for > 1 year who never had an ANC < 2000/μL.

www.jpn.ca/content/45/3...
Consensus statement on the use of clozapine during the COVID-19 pandemic
With the ongoing coronavirus disease 2019 (COVID-19) pandemic, psychiatrists find themselves in the clinical situation of being asked by patients, family members and patient advocacy societies to help...
www.jpn.ca
May 5, 2025 at 1:08 PM
Super interesting (but preliminary) study published in Neuron, indicating:
-Transplanting gut microbiota from women with
fibromyalgia into mice induces pain
-Replacing fibromyalgia microbiota with healthy microbiota alleviated pain both in mice and humans
doi.org/10.1016/j.ne...
#medsky 🧪
April 30, 2025 at 7:28 AM
Study in BC 🇨🇦 sees no change in opioid or stimulant harms 1 year after decriminalization. "The findings do not support decriminalization in isolation as an effective policy at reducing drug overdose harms."

Keep an eye on that opioid hospitalization trend, though

www.doi.org/10.1001/jama.2025.3006
April 15, 2025 at 8:30 AM
New short report in the American Journal of Psychiatry indicates that self-reported non-medical use of prescription stimulants, opioids, and benzodiazepines in adolescents decreased notably between 2009 and 2022 in US adolescents:
www.doi.org/10.1176/appi.ajp.20240674 🧪
April 9, 2025 at 11:20 AM
Reposted by Aleksi Hamina
Lithium is best at decreasing the risk of depression-related hospitalisation in bipolar disorder, according to new cohort study buff.ly/bHzIaxb

#BipolarDisorder #BipolarDepression #Lithium #MoodStabilisers

🧵 THREAD
April 3, 2025 at 6:41 AM
Reposted by Aleksi Hamina
SOUL phase 3b trial: Among participants with type 2 diabetes & cardiovascular disease, chronic kidney disease, or both, oral semaglutide was associated with a lower risk of cardiovascular events than placebo after 4 years of follow-up. nej.md/4hHII5M

#ACC25 @accintouch.bsky.social
March 29, 2025 at 6:37 PM