benjamin dickman
@benjamindickman.bsky.social
K-12 math educator 🪄♾️
Brookline to Nanjing to NYC
Amherst College BA
Fulbright Program x2 (🇨🇳+🇵🇭)
Teachers College, Columbia University PhD
past BU Wheelock (postdoc, Math Edu)
cocreated original word game: #FiddleBrix
http://tinyurl.com/bmdmaths
Brookline to Nanjing to NYC
Amherst College BA
Fulbright Program x2 (🇨🇳+🇵🇭)
Teachers College, Columbia University PhD
past BU Wheelock (postdoc, Math Edu)
cocreated original word game: #FiddleBrix
http://tinyurl.com/bmdmaths
Pinned
Collection of 8 integers; the mean, median, unique mode, and range: all 8
What is the biggest possible element of the collection?
Source: AMC
Same as above, but change 8s to 5.
Source: students
Same as above, but change 8s to n.
Source: today's department meeting!
#iTeachMath ♾️ #MathSky 🧮
What is the biggest possible element of the collection?
Source: AMC
Same as above, but change 8s to 5.
Source: students
Same as above, but change 8s to n.
Source: today's department meeting!
#iTeachMath ♾️ #MathSky 🧮
whoa
@jedediyah.com , just got it today via hardcopy ILL, and scanned it. TONS of resources and citations in it. Shocking amount actually. Here is a link so you can download it. www.dropbox.com/scl/fi/ieeo7...
www.dropbox.com
November 11, 2025 at 2:07 AM
whoa
Reposted by benjamin dickman
Collection of 8 integers; the mean, median, unique mode, and range: all 8
What is the biggest possible element of the collection?
Source: AMC
Same as above, but change 8s to 5.
Source: students
Same as above, but change 8s to n.
Source: today's department meeting!
#iTeachMath ♾️ #MathSky 🧮
What is the biggest possible element of the collection?
Source: AMC
Same as above, but change 8s to 5.
Source: students
Same as above, but change 8s to n.
Source: today's department meeting!
#iTeachMath ♾️ #MathSky 🧮
November 5, 2025 at 10:35 PM
Collection of 8 integers; the mean, median, unique mode, and range: all 8
What is the biggest possible element of the collection?
Source: AMC
Same as above, but change 8s to 5.
Source: students
Same as above, but change 8s to n.
Source: today's department meeting!
#iTeachMath ♾️ #MathSky 🧮
What is the biggest possible element of the collection?
Source: AMC
Same as above, but change 8s to 5.
Source: students
Same as above, but change 8s to n.
Source: today's department meeting!
#iTeachMath ♾️ #MathSky 🧮
who is more likely to win, according to your intuition, in a game of war?
Scenario 1:
Player A with 4 aces
Player B with the other 48 cards
Scenario 2:
Player A with 4 aces and 4 kings
Player B with the other 44 cards
cc #iTeachMath ♾️ #MathSky 🧮
Scenario 1:
Player A with 4 aces
Player B with the other 48 cards
Scenario 2:
Player A with 4 aces and 4 kings
Player B with the other 44 cards
cc #iTeachMath ♾️ #MathSky 🧮
November 7, 2025 at 6:31 PM
who is more likely to win, according to your intuition, in a game of war?
Scenario 1:
Player A with 4 aces
Player B with the other 48 cards
Scenario 2:
Player A with 4 aces and 4 kings
Player B with the other 44 cards
cc #iTeachMath ♾️ #MathSky 🧮
Scenario 1:
Player A with 4 aces
Player B with the other 48 cards
Scenario 2:
Player A with 4 aces and 4 kings
Player B with the other 44 cards
cc #iTeachMath ♾️ #MathSky 🧮
find x such that |x|<1 is a solution to:
1/(1+x²) = 6sin(x)
screenshot of WolframAlpha approximation below...
notice it ends with 11 7 2025, which is TODAY'S DATE
coincidence?! #iTeachMath ♾️ #MathSky 🧮
—
PS: what equation could you use for tomorrow's date?
1/(1+x²) = 6sin(x)
screenshot of WolframAlpha approximation below...
notice it ends with 11 7 2025, which is TODAY'S DATE
coincidence?! #iTeachMath ♾️ #MathSky 🧮
—
PS: what equation could you use for tomorrow's date?
November 7, 2025 at 2:31 PM
find x such that |x|<1 is a solution to:
1/(1+x²) = 6sin(x)
screenshot of WolframAlpha approximation below...
notice it ends with 11 7 2025, which is TODAY'S DATE
coincidence?! #iTeachMath ♾️ #MathSky 🧮
—
PS: what equation could you use for tomorrow's date?
1/(1+x²) = 6sin(x)
screenshot of WolframAlpha approximation below...
notice it ends with 11 7 2025, which is TODAY'S DATE
coincidence?! #iTeachMath ♾️ #MathSky 🧮
—
PS: what equation could you use for tomorrow's date?
i assume someone has already coined #mathlighting for gaslighting using mathematics
but i refuse to look it up and know for sure!!
but i refuse to look it up and know for sure!!
November 7, 2025 at 2:33 AM
i assume someone has already coined #mathlighting for gaslighting using mathematics
but i refuse to look it up and know for sure!!
but i refuse to look it up and know for sure!!
is there a go-to source on the importance/value of RISK TAKING in mathematics education? i see it mentioned a lot, mostly [tho not solely...] in positive senses. but i don't know who the name to associate w it would be. thanks!
cc #iTeachMath ♾️
cc #iTeachMath ♾️
November 6, 2025 at 7:30 PM
is there a go-to source on the importance/value of RISK TAKING in mathematics education? i see it mentioned a lot, mostly [tho not solely...] in positive senses. but i don't know who the name to associate w it would be. thanks!
cc #iTeachMath ♾️
cc #iTeachMath ♾️
yes! read this book and feel free to fold the pages
*The Mathematics of Origami*.
Expected online publication date: December 2025. Print publication: 31 December 2025.
www.science.smith.edu/~jorourke/Ma...
#MathSky #Mathematics 🧪 #Geometry #Origami #MathArt
Expected online publication date: December 2025. Print publication: 31 December 2025.
www.science.smith.edu/~jorourke/Ma...
#MathSky #Mathematics 🧪 #Geometry #Origami #MathArt
November 6, 2025 at 2:03 PM
yes! read this book and feel free to fold the pages
13 years ago, well before the modern 67 craze:
math.stackexchange.com/questions/23...
my MSE answers of yore were frequent and hopeful. alas!
math.stackexchange.com/questions/23...
my MSE answers of yore were frequent and hopeful. alas!
67 67 67 : use 3, 67's use any way how to get 11222
I need to get 11222 using three 67 s (Sixty seven)
We can use any operation in any maner
67 67 67
use 3, 67's use any way but to get 11222.
math.stackexchange.com
November 6, 2025 at 3:44 AM
13 years ago, well before the modern 67 craze:
math.stackexchange.com/questions/23...
my MSE answers of yore were frequent and hopeful. alas!
math.stackexchange.com/questions/23...
my MSE answers of yore were frequent and hopeful. alas!
Collection of 8 integers; the mean, median, unique mode, and range: all 8
What is the biggest possible element of the collection?
Source: AMC
Same as above, but change 8s to 5.
Source: students
Same as above, but change 8s to n.
Source: today's department meeting!
#iTeachMath ♾️ #MathSky 🧮
What is the biggest possible element of the collection?
Source: AMC
Same as above, but change 8s to 5.
Source: students
Same as above, but change 8s to n.
Source: today's department meeting!
#iTeachMath ♾️ #MathSky 🧮
November 5, 2025 at 10:35 PM
Collection of 8 integers; the mean, median, unique mode, and range: all 8
What is the biggest possible element of the collection?
Source: AMC
Same as above, but change 8s to 5.
Source: students
Same as above, but change 8s to n.
Source: today's department meeting!
#iTeachMath ♾️ #MathSky 🧮
What is the biggest possible element of the collection?
Source: AMC
Same as above, but change 8s to 5.
Source: students
Same as above, but change 8s to n.
Source: today's department meeting!
#iTeachMath ♾️ #MathSky 🧮
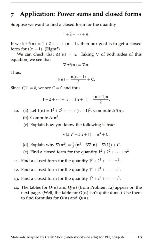
messing with a new problem set for #precalc so if you want to steal the materials OR point out any errors, it will be appreciated!
docs.google.com/document/d/1...
thanks in advance 🙏🏻 #iTeachMath x #MathSky
(not sure what hashtags are used for trig but #iTeachTrig unite!)
docs.google.com/document/d/1...
thanks in advance 🙏🏻 #iTeachMath x #MathSky
(not sure what hashtags are used for trig but #iTeachTrig unite!)
[25-26] Precal PS 1 [Dickman]
Problem 1) a) There are different ways to combine trigonometric functions, for example, we have seen that sin(x)/cos(x) gives us the tangent function. Below is a graph of cos(x) multiplied by sin(x): ...
docs.google.com
November 4, 2025 at 8:39 PM
messing with a new problem set for #precalc so if you want to steal the materials OR point out any errors, it will be appreciated!
docs.google.com/document/d/1...
thanks in advance 🙏🏻 #iTeachMath x #MathSky
(not sure what hashtags are used for trig but #iTeachTrig unite!)
docs.google.com/document/d/1...
thanks in advance 🙏🏻 #iTeachMath x #MathSky
(not sure what hashtags are used for trig but #iTeachTrig unite!)
This is great altho the n=3 triangle has a certain nefarious quality to it...
cc #MathSky 🤝 #iTeachMath
cc #MathSky 🤝 #iTeachMath
something like this? www.desmos.com/calculator/w...
Polygon Periodic shifted
www.desmos.com
November 4, 2025 at 1:28 AM
This is great altho the n=3 triangle has a certain nefarious quality to it...
cc #MathSky 🤝 #iTeachMath
cc #MathSky 🤝 #iTeachMath
early voting wrapped up today; no voting tomorrow = Monday; if you haven't yet voted in NYC, then be sure to get it done on Election Day = Tuesday!
#GOTV 🗳️ #GOTVNYC
#GOTV 🗳️ #GOTVNYC
Yall aren’t on IG, so here’s a GOTV I did with … @zohrankmamdani.bsky.social.
No, seriously.
Go to zohranfornyc.com/GOTV and let’s get it done.
No, seriously.
Go to zohranfornyc.com/GOTV and let’s get it done.
November 3, 2025 at 1:20 AM
categorizing students as "low achievers" versus "high flyers" etcetera is so offensive and unnecessary. for this reason, i strictly use "loquats" and "hydrangeas" so that no one – not the students, not other teachers, not readers of this post – can figure out how i'm academically grouping children!
November 3, 2025 at 12:06 AM
categorizing students as "low achievers" versus "high flyers" etcetera is so offensive and unnecessary. for this reason, i strictly use "loquats" and "hydrangeas" so that no one – not the students, not other teachers, not readers of this post – can figure out how i'm academically grouping children!
problem posing context: Bingo
what would be a good problem to pose?
#iTeachMath ♾️ #MathSky 🧮
added context: i just attended a [slightly belated] Hispanic Heritage Month lunch, and there were multiple simultaneous Bingo winners. and now i have math on the mind! 🧠
what would be a good problem to pose?
#iTeachMath ♾️ #MathSky 🧮
added context: i just attended a [slightly belated] Hispanic Heritage Month lunch, and there were multiple simultaneous Bingo winners. and now i have math on the mind! 🧠
October 29, 2025 at 5:37 PM
problem posing context: Bingo
what would be a good problem to pose?
#iTeachMath ♾️ #MathSky 🧮
added context: i just attended a [slightly belated] Hispanic Heritage Month lunch, and there were multiple simultaneous Bingo winners. and now i have math on the mind! 🧠
what would be a good problem to pose?
#iTeachMath ♾️ #MathSky 🧮
added context: i just attended a [slightly belated] Hispanic Heritage Month lunch, and there were multiple simultaneous Bingo winners. and now i have math on the mind! 🧠
Have seen there is a book about "mathers" (well known anagram of Amherst, hamster). How long has this term been present / popular in math edu circles?
I checked my now-🔐 twittxr account and found myself using it in 2019 (and lots in 2021) but wouldn't be surprised if others coined it independently!
I checked my now-🔐 twittxr account and found myself using it in 2019 (and lots in 2021) but wouldn't be surprised if others coined it independently!
October 25, 2025 at 3:29 PM
Have seen there is a book about "mathers" (well known anagram of Amherst, hamster). How long has this term been present / popular in math edu circles?
I checked my now-🔐 twittxr account and found myself using it in 2019 (and lots in 2021) but wouldn't be surprised if others coined it independently!
I checked my now-🔐 twittxr account and found myself using it in 2019 (and lots in 2021) but wouldn't be surprised if others coined it independently!
in #MathsToday: precalc sample questions
idk that there's anything revolutionary but have a lil fun! steal as desired; lmk if you modify and improve something
alt text: screenshots of the four problems that can be found here:
docs.google.com/document/d/1...
#iTeachMath ♾️
idk that there's anything revolutionary but have a lil fun! steal as desired; lmk if you modify and improve something
alt text: screenshots of the four problems that can be found here:
docs.google.com/document/d/1...
#iTeachMath ♾️
October 23, 2025 at 6:50 PM
in #MathsToday: precalc sample questions
idk that there's anything revolutionary but have a lil fun! steal as desired; lmk if you modify and improve something
alt text: screenshots of the four problems that can be found here:
docs.google.com/document/d/1...
#iTeachMath ♾️
idk that there's anything revolutionary but have a lil fun! steal as desired; lmk if you modify and improve something
alt text: screenshots of the four problems that can be found here:
docs.google.com/document/d/1...
#iTeachMath ♾️
new @cshor.org pset 🏃💨
drive.google.com/file/d/1NaXQ...
screenshots of PDF pages 1, 2, 3, and 10 below
cc #iTeachMath ♾️
bcc #MathSky 🧮
drive.google.com/file/d/1NaXQ...
screenshots of PDF pages 1, 2, 3, and 10 below
cc #iTeachMath ♾️
bcc #MathSky 🧮
October 19, 2025 at 11:04 PM
new @cshor.org pset 🏃💨
drive.google.com/file/d/1NaXQ...
screenshots of PDF pages 1, 2, 3, and 10 below
cc #iTeachMath ♾️
bcc #MathSky 🧮
drive.google.com/file/d/1NaXQ...
screenshots of PDF pages 1, 2, 3, and 10 below
cc #iTeachMath ♾️
bcc #MathSky 🧮
new math edu paper dropped 💧
“Sometimes emotions are really beneficial and important”:
Theorizing Emotional Tools of Creative Insubordination
Authors:
Kari Kokka
Marrielle Myers
Rochelle Gutiérrez
worth the read! (and please 🙏🏻 read the original RG paper on creative insubordination!)
#iTeachMath
“Sometimes emotions are really beneficial and important”:
Theorizing Emotional Tools of Creative Insubordination
Authors:
Kari Kokka
Marrielle Myers
Rochelle Gutiérrez
worth the read! (and please 🙏🏻 read the original RG paper on creative insubordination!)
#iTeachMath
October 19, 2025 at 5:19 PM
new math edu paper dropped 💧
“Sometimes emotions are really beneficial and important”:
Theorizing Emotional Tools of Creative Insubordination
Authors:
Kari Kokka
Marrielle Myers
Rochelle Gutiérrez
worth the read! (and please 🙏🏻 read the original RG paper on creative insubordination!)
#iTeachMath
“Sometimes emotions are really beneficial and important”:
Theorizing Emotional Tools of Creative Insubordination
Authors:
Kari Kokka
Marrielle Myers
Rochelle Gutiérrez
worth the read! (and please 🙏🏻 read the original RG paper on creative insubordination!)
#iTeachMath
Today I realised that “integrates like” is the phrase I’ve been missing for talking about spotting the structure of an integral. #ALevelMaths #MathsToday
October 15, 2025 at 6:31 PM
Mr. D has 17 people in a class (incl himself). Oddly fascinated by the number, he decided to collect 17 candies a day, every day, for a week.
He brings the candies to class and distributes them all among the 15 students (one was absent!).
Prove there must be a pair of Ss who get the same # of 🍬's.
He brings the candies to class and distributes them all among the 15 students (one was absent!).
Prove there must be a pair of Ss who get the same # of 🍬's.
October 14, 2025 at 12:51 PM
Mr. D has 17 people in a class (incl himself). Oddly fascinated by the number, he decided to collect 17 candies a day, every day, for a week.
He brings the candies to class and distributes them all among the 15 students (one was absent!).
Prove there must be a pair of Ss who get the same # of 🍬's.
He brings the candies to class and distributes them all among the 15 students (one was absent!).
Prove there must be a pair of Ss who get the same # of 🍬's.
new "Meet our Desmos Fellows" is up
via @desmos.com:
amplify.com/meet-the-des...
can you spot me???? #iTeachMath ♾️
via @desmos.com:
amplify.com/meet-the-des...
can you spot me???? #iTeachMath ♾️
Meet our Desmos Fellows | Amplify
Learn about our amazing cohort of Desmos Fellows, a collaborative community of innovative math educators from a wide range of backgrounds.
amplify.com
October 13, 2025 at 8:28 PM
new "Meet our Desmos Fellows" is up
via @desmos.com:
amplify.com/meet-the-des...
can you spot me???? #iTeachMath ♾️
via @desmos.com:
amplify.com/meet-the-des...
can you spot me???? #iTeachMath ♾️
1pm Thursday is great timing for this session!
(if, unlike me, you're at NCTM Atlanta)
👇🏻
(if, unlike me, you're at NCTM Atlanta)
👇🏻
Getting pumped to present at @NCTM.org 2025!
Come to an awesome workshop on "Mathematics for Machine Learning and Artificial Intelligence". We'll play with dynamical systems and filters, feature engineer some classifiers, and talk about how not to AI.
#NCTM2025 #NCTMATL25 #mtbos #IteachMath #NCTM
Come to an awesome workshop on "Mathematics for Machine Learning and Artificial Intelligence". We'll play with dynamical systems and filters, feature engineer some classifiers, and talk about how not to AI.
#NCTM2025 #NCTMATL25 #mtbos #IteachMath #NCTM
October 12, 2025 at 7:56 PM
1pm Thursday is great timing for this session!
(if, unlike me, you're at NCTM Atlanta)
👇🏻
(if, unlike me, you're at NCTM Atlanta)
👇🏻
[digging through my twittxr archives]
do you want non-routine quadratic problems?
here are 20 💌:
www.desmos.com/calculator/d...
cc. #iTeachMath #MathSky #EduSky #AlgebraSky
do you want non-routine quadratic problems?
here are 20 💌:
www.desmos.com/calculator/d...
cc. #iTeachMath #MathSky #EduSky #AlgebraSky
Particular Parabola Problems
www.desmos.com
October 12, 2025 at 5:26 PM
[digging through my twittxr archives]
do you want non-routine quadratic problems?
here are 20 💌:
www.desmos.com/calculator/d...
cc. #iTeachMath #MathSky #EduSky #AlgebraSky
do you want non-routine quadratic problems?
here are 20 💌:
www.desmos.com/calculator/d...
cc. #iTeachMath #MathSky #EduSky #AlgebraSky
[profession: math education]
👻 standards by learning style 🎃
👻 standards by learning style 🎃
In honour of spooky month, share a 4 word horror story that only someone in your profession would understand.
rm -rf ~/
rm -rf ~/
"The chancellor approved it"
October 12, 2025 at 3:10 PM
[profession: math education]
👻 standards by learning style 🎃
👻 standards by learning style 🎃