Griffin Murch
@griffinmurch.bsky.social
Clinical Research Assistant @McLeanHospital | Treatment & Etiology of Depression in Youth Lab | Distress Intervention + Data Science
Reposted by Griffin Murch
I am pleased to share our paper showing that daily assessment improves the precision of #self-harm and #suicide prediction beyond the data available at the start of a hospital admission. psycnet.apa.org/record/2026-...
APA PsycNet
psycnet.apa.org
November 7, 2025 at 3:46 AM
I am pleased to share our paper showing that daily assessment improves the precision of #self-harm and #suicide prediction beyond the data available at the start of a hospital admission. psycnet.apa.org/record/2026-...
Reposted by Griffin Murch
Network-informed interventions for psychopathology
Journal Club by René Freichel
go.nature.com/43ispIc
Journal Club by René Freichel
go.nature.com/43ispIc
November 7, 2025 at 1:23 PM
Network-informed interventions for psychopathology
Journal Club by René Freichel
go.nature.com/43ispIc
Journal Club by René Freichel
go.nature.com/43ispIc
No one can deny that we need better ways of approaching science communication, particularly right now. Great read below, no matter your field!
"Leveraging the epistemic authority of the 'common man' can then make science seem less elitist and more aligned with community values."
"Leveraging the epistemic authority of the 'common man' can then make science seem less elitist and more aligned with community values."
Cultivating New Ways to Trust Science Amid the Rise of Questionable Health Practices: https://osf.io/fhj3y
November 5, 2025 at 5:57 PM
No one can deny that we need better ways of approaching science communication, particularly right now. Great read below, no matter your field!
"Leveraging the epistemic authority of the 'common man' can then make science seem less elitist and more aligned with community values."
"Leveraging the epistemic authority of the 'common man' can then make science seem less elitist and more aligned with community values."
Reposted by Griffin Murch
Investigating Risk and Protective Factors for Suicidal Ideation and Attempts in Bi+ Youth: A Multi-Method Study: https://osf.io/9x4h2
November 5, 2025 at 4:20 PM
Investigating Risk and Protective Factors for Suicidal Ideation and Attempts in Bi+ Youth: A Multi-Method Study: https://osf.io/9x4h2
Reposted by Griffin Murch
I’ve spent the last 8 years(!) working from the position that HiTOP relies too much on analyses of traditional diagnoses, baking in limitations of the DSM, and that we need to move to symptom-level analyses to fix it
It turns out that rebuilding HiTOP from the ground up doesn’t change much 💀
1/
It turns out that rebuilding HiTOP from the ground up doesn’t change much 💀
1/
November 4, 2025 at 8:27 PM
I’ve spent the last 8 years(!) working from the position that HiTOP relies too much on analyses of traditional diagnoses, baking in limitations of the DSM, and that we need to move to symptom-level analyses to fix it
It turns out that rebuilding HiTOP from the ground up doesn’t change much 💀
1/
It turns out that rebuilding HiTOP from the ground up doesn’t change much 💀
1/
Paraphrasing @emollick.bsky.social and @dkthomp.bsky.social here: AI is (so far) much better at assisting with job-specific tasks than replacing entire careers.
Research and science appear to be no exception.
Research and science appear to be no exception.
"The advent of large language models have made this type of content relatively easy to churn out on demand, and the majority of the review articles we receive are little more than annotated bibliographies, with no substantial discussion of open research issues."
arXiv will no longer accept review articles and position papers unless they have been accepted at a journal or a conference and complete successful peer review.
This is due to being overwhelmed by a hundreds of AI generated papers a month.
Yet another open submission process killed by LLMs.
This is due to being overwhelmed by a hundreds of AI generated papers a month.
Yet another open submission process killed by LLMs.
November 3, 2025 at 5:50 PM
Paraphrasing @emollick.bsky.social and @dkthomp.bsky.social here: AI is (so far) much better at assisting with job-specific tasks than replacing entire careers.
Research and science appear to be no exception.
Research and science appear to be no exception.
Such a cool paper!
On the common approach of comparing those w/ and w/o given DSM/ICD diagnoses (e.g., case-control):
"[These] models often fail not because of the quality of the computational approach, but because the diagnostic labels they target do a poor job of carving nature at its joints."
On the common approach of comparing those w/ and w/o given DSM/ICD diagnoses (e.g., case-control):
"[These] models often fail not because of the quality of the computational approach, but because the diagnostic labels they target do a poor job of carving nature at its joints."
Integrating HiTOP and Computational Psychiatry for a New Era of Clinical Science: https://osf.io/sbuvd
November 3, 2025 at 5:24 PM
Such a cool paper!
On the common approach of comparing those w/ and w/o given DSM/ICD diagnoses (e.g., case-control):
"[These] models often fail not because of the quality of the computational approach, but because the diagnostic labels they target do a poor job of carving nature at its joints."
On the common approach of comparing those w/ and w/o given DSM/ICD diagnoses (e.g., case-control):
"[These] models often fail not because of the quality of the computational approach, but because the diagnostic labels they target do a poor job of carving nature at its joints."
Reposted by Griffin Murch
New paper in Journal of Affective Disorders led by Olivia Losiewicz: Daily spread of positive affect is associated with subsequent well-being: A study of idiographic network analysis and emotional inertia. www.sciencedirect.com/science/arti...
Daily spread of positive affect is associated with subsequent well-being: A study of idiographic network analysis and emotional inertia
Emotional inertia, or the persistence of affect over time, and emotion network density, a measurement of the interconnected or relatedness of one's em…
www.sciencedirect.com
October 29, 2025 at 5:17 PM
New paper in Journal of Affective Disorders led by Olivia Losiewicz: Daily spread of positive affect is associated with subsequent well-being: A study of idiographic network analysis and emotional inertia. www.sciencedirect.com/science/arti...
Reposted by Griffin Murch
From this new post by OpenAI: 0.15% of users (something like 9M people given public numbers) show signs of suicidal intent in their ChatGPT chats each week
But there seems to be progress in making ChatGPT respond appropriately to mental health issues. openai.com/index/streng...
But there seems to be progress in making ChatGPT respond appropriately to mental health issues. openai.com/index/streng...
October 28, 2025 at 4:40 AM
From this new post by OpenAI: 0.15% of users (something like 9M people given public numbers) show signs of suicidal intent in their ChatGPT chats each week
But there seems to be progress in making ChatGPT respond appropriately to mental health issues. openai.com/index/streng...
But there seems to be progress in making ChatGPT respond appropriately to mental health issues. openai.com/index/streng...
Reposted by Griffin Murch
Thanks to @bbrfoundation.bsky.social for highlighting our lab's study (led by @hadarfisher.bsky.social & @nigeljaffe.bsky.social) using📱smartphone sensors + LLM-derived text ratings to track behavioral activation and symptom change in teens with anhedonia.
bbrfoundation.org/content/smar...
bbrfoundation.org/content/smar...
Smartphone Sensors + ChatGPT Successfully Tracked & Predicted Symptoms in Adolescents with Anhedonia | Brain & Behavior Research Foundation
The ubiquity of smartphones and the rapid advance and widespread public adoption of “AI” tools like ChatGPT (especially among the young) have raised hopes among some researchers that such technologies...
bbrfoundation.org
October 24, 2025 at 8:11 PM
Thanks to @bbrfoundation.bsky.social for highlighting our lab's study (led by @hadarfisher.bsky.social & @nigeljaffe.bsky.social) using📱smartphone sensors + LLM-derived text ratings to track behavioral activation and symptom change in teens with anhedonia.
bbrfoundation.org/content/smar...
bbrfoundation.org/content/smar...
Reposted by Griffin Murch
DSM-5 Now Includes Mariners Fanhood as a Legitimate Form of Depression: tinyurl.com/5e8a65zt
October 22, 2025 at 4:01 AM
DSM-5 Now Includes Mariners Fanhood as a Legitimate Form of Depression: tinyurl.com/5e8a65zt
Reposted by Griffin Murch
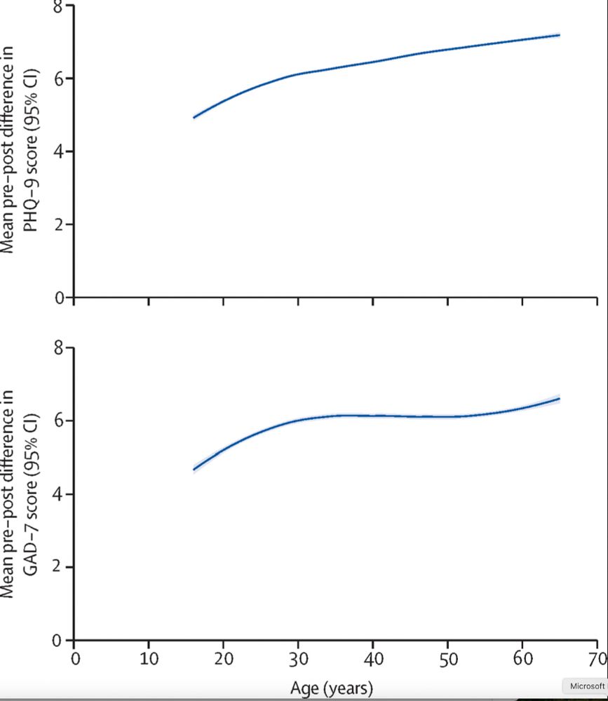
📢 New large study of ~1.5 million patients in NHS Talking Therapies finds that teens/young adults (ages 16-24) had 17-26% *lower* odds of reliably improving vs 25-65 year-olds. Time to rethink youth-centred mental-health delivery?
🔗 tinyurl.com/532y6v67
🔗 tinyurl.com/532y6v67
October 22, 2025 at 2:07 PM
📢 New large study of ~1.5 million patients in NHS Talking Therapies finds that teens/young adults (ages 16-24) had 17-26% *lower* odds of reliably improving vs 25-65 year-olds. Time to rethink youth-centred mental-health delivery?
🔗 tinyurl.com/532y6v67
🔗 tinyurl.com/532y6v67
Reposted by Griffin Murch
Chronic diseases were more strongly linked to suicide attempt, while severe conditions and psychiatric polygenic scores were more associated with suicide, indicating overlapping but distinct risk factors for attempt and death by suicide.
ja.ma/3IVjPZ2
ja.ma/3IVjPZ2
October 22, 2025 at 4:00 PM
Chronic diseases were more strongly linked to suicide attempt, while severe conditions and psychiatric polygenic scores were more associated with suicide, indicating overlapping but distinct risk factors for attempt and death by suicide.
ja.ma/3IVjPZ2
ja.ma/3IVjPZ2
Reposted by Griffin Murch
We’ve recently updated our collaborative open-access book, “Neural Networks in Cognitive Science”, adding a few new authors, chapters, and lots of content.
downloads.jeffyoshimi.net/NeuralNetwor...
downloads.jeffyoshimi.net/NeuralNetwor...
October 21, 2025 at 8:44 PM
We’ve recently updated our collaborative open-access book, “Neural Networks in Cognitive Science”, adding a few new authors, chapters, and lots of content.
downloads.jeffyoshimi.net/NeuralNetwor...
downloads.jeffyoshimi.net/NeuralNetwor...
Reposted by Griffin Murch
Suicidology has been waiting a long time for this! A measure of capability for suicide that is both reasonably comprehensive and concise. Great work by @meganlrogers.bsky.social and colleagues.
journals.sagepub.com/doi/abs/10.1...
journals.sagepub.com/doi/abs/10.1...
Sage Journals: Discover world-class research
Subscription and open access journals from Sage, the world's leading independent academic publisher.
journals.sagepub.com
August 21, 2025 at 6:08 PM
Suicidology has been waiting a long time for this! A measure of capability for suicide that is both reasonably comprehensive and concise. Great work by @meganlrogers.bsky.social and colleagues.
journals.sagepub.com/doi/abs/10.1...
journals.sagepub.com/doi/abs/10.1...
Reposted by Griffin Murch
Work by Xin Hu and Lauren Bylsma demonstrates combining self-report EMA and passive psychophysiological measures improves prediction of active SI in adults with ASD. #2025SPR @therealspr.bsky.social
October 17, 2025 at 6:37 PM
Work by Xin Hu and Lauren Bylsma demonstrates combining self-report EMA and passive psychophysiological measures improves prediction of active SI in adults with ASD. #2025SPR @therealspr.bsky.social
Reposted by Griffin Murch
Yes! Well, kind of, IMO. The brain is for allostasis first - the maintenance of bodily states within a viable range. But one means of such control is through behavior. And a good way to figure out what to do is through cognition. (And a good way to do cognition is to do it consciously... 😊)
Excited to share our work making an "allostasis-first" case that brain function is most productively framed in terms of its core regulatory function. We also introduce some new ideas in the context of metabolism and cognitive function in Alzheimer's.
www.cell.com/neuron/fullt...
www.cell.com/neuron/fullt...
October 15, 2025 at 3:59 PM
Yes! Well, kind of, IMO. The brain is for allostasis first - the maintenance of bodily states within a viable range. But one means of such control is through behavior. And a good way to figure out what to do is through cognition. (And a good way to do cognition is to do it consciously... 😊)
Reposted by Griffin Murch
🆕 study by @hadarfisher.bsky.social @nigeljaffe.bsky.social @diegopizzagalli.bsky.social @christianwebb.bsky.social tested whether smartphone mobility sensing & LLM ratings of text can track behavioral activation in teens to boost engagement in rewarding activities
www.nature.com/articles/s44...
www.nature.com/articles/s44...
Client Challenge
www.nature.com
October 14, 2025 at 2:45 PM
🆕 study by @hadarfisher.bsky.social @nigeljaffe.bsky.social @diegopizzagalli.bsky.social @christianwebb.bsky.social tested whether smartphone mobility sensing & LLM ratings of text can track behavioral activation in teens to boost engagement in rewarding activities
www.nature.com/articles/s44...
www.nature.com/articles/s44...
Reposted by Griffin Murch
We are officially moving over from X! Please follow us for posts on new lab papers, open positions, and other mental health research we are following 🧠
January 23, 2025 at 5:52 PM
We are officially moving over from X! Please follow us for posts on new lab papers, open positions, and other mental health research we are following 🧠