Ludger Woessmann
banner
woessmann.bsky.social
Ludger Woessmann
@woessmann.bsky.social

Professor of Economics, University of Munich
Director, ifo Center for the Economics of Education
https://sites.google.com/view/woessmann-e

Ludger Wößmann is a German economist and professor of economics at the Ludwig Maximilian University of Munich (LMU). Moreover, being one of the world's foremost education economists, he is the director of the ifo Center for the Economics of Education at the ifo Institute. Beyond the economics of education, his research interests also include economic growth and economic history. In 2014, Wößmann's empirical research on the effects of education and his corresponding contribution to public debate were awarded the Gossen Prize, followed by the Gustav Stolper Prize in 2017. .. more

Education 44%
Economics 31%
Pinned
❓Why do the Nordics & Dutch speak English so much better than the Germans, Italians & French?

➡️ New Working Paper:

Out-of-School Learning: Subtitling vs. Dubbing and the Acquisition of Foreign-Language Skills
w/ F. Baumeister & E. Hanushek

www.nber.org/papers/w33984

A 🧵 1/12

📢 FYI: 🧵 on 🆕 paper on training & early retirement: @hhsievertsen.bsky.social @lindseymacmillan.bsky.social @marirege.bsky.social @ingoisphording.bsky.social @raphaelbrade.bsky.social @econmunich.bsky.social ‬‬‬‬‬‬‬‬‬‬‬‬‬‬‬‬‬‬‬@rationalitycrc.bsky.social @cesifo.org ‬@ifoeducation.bsky.social

Finding that robot exposure led to labor market exit of elderly workers adds important nuance to literature on labor market effects of robots in Germany

Overall, findings highlight scope for policy to promote adjustment mechanisms conducive to aggregate productivity
9/9

➡️ Training & retiring are relevant adjustment mechanisms used by firms & workers in intricate ways to react to disruptions

➡️ Structural change induces both productivity-enhancing & -reducing responses

➡️ Challenges simple narratives of labor market adaptation
8/9

I.e., response to robot 🤖 adoption:
⬆️ training 🧠 in indirectly affected services 🏢 but
⬆️ early retirement 👴 in directly affected manufacturing 🏭

Response to import 🌏 competition:
⬇️ training 🧠
⬆️ early retirement 👴 in manufacturing 🏭
Opposite response to export expansion 🔁
7/9

4️⃣ Robot 🤖 exposure raises early retirement among manufacturing workers 🧑‍🏭🏖️
5️⃣ Same for import 🌏 exposure
6️⃣ Opposite for export exposure 🔁
6/9

Results:
1️⃣ Robot 🤖 exposure increases training 🧠—particularly in indirectly affected services 🧑‍💼
2️⃣ Import 🌏 exposure reduces training—particularly in manufacturing 🏭
3️⃣ Opposite for export exposure 🔁
5/9

Established methods:

Shift-share measures of local exposure to
➡️ Trade integration with China & Eastern Europe 🗺️
➡️ Industrial robot adoption 🤖

Identification
➡️ Instrument local exposure using industry-specific changes in other high-income countries 🌐
4/9

Novel data construction for German local labor markets, 1994-2014:
1️⃣ Training participation from Microcensus 📊
2️⃣ Early retirement from IAB employment records 🗂️
3/9

How do firms & workers adjust to trade & technology shocks?

We study 2 mechanisms that received little attention:

1️⃣ Training: upgrade skills 🧠💻
2️⃣ Early retirement: shift adjustment costs to public pension systems 🧾🏖️

Opposite implications for aggregate productivity 🔁
2/9

🆕Working Paper🚨

Training or Retiring? How Labor Markets Adjust to Trade and Technology Shocks📒
w/ A.Bertermann, @dauthecon.bsky.social & @suedekum.bsky.social

🤖 Robots ➡️ ⬆️training & ⬆️early retirement
🌏 Imports ➡️ ⬇️training & ⬆️early r.
🌎 Exports ➡️ ⬆️training & ⬇️e.r.

www.ifo.de/DocDL/cesifo...

🧵1/9

Can schools change faith? Benjamin Arold, @woessmann.bsky.social & Larissa Zierow find that ending mandatory #ReligiousEducation reduces adult #religiosity by 7%. Students earn more, work longer hours, but pray less and skip church.
doi.org/10.3368/jhr....

Reposted by Ludger Woessmann

Reposted by Ludger Woessmann

And oh boy, "Adam's Research Minute" is a banger. The
@benjaminarold.bsky.social, @woessmann.bsky.social, Zierow research on how schooling affects religiosity is super important and interesting. Here's the link to the journal article: jhr.uwpress.org/content/earl...

6/n
Can Schools Change Religious Attitudes?
We study whether compulsory religious education in schools affects students’ religiosity as adults. We exploit the staggered termination of compulsory religious education across German states in model...
jhr.uwpress.org

Reposted by Ludger Woessmann

Reposted by Simon Wiederhold

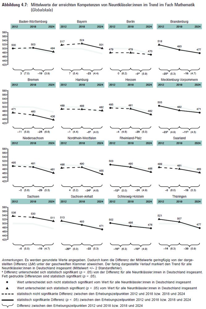
Unser wichtigster Gradmesser der bundeslandspezifischen Entwicklung. Leider nur alle 6 Jahre.

Extrem wichtige Zahlen. Sie sind ein Desaster.

Die Bildungsministerkonferenz dazu: „Licht und Schatten im IQB-Bildungstrend 2024“😯🤷
3/3

Alle sozio-demographischen Gruppen betroffen.

Rückgang in allen Bundesländern. (Lediglich Hamburg (in allen Fächern) nicht signifikant.) Z.B. Mathe:

NRW -34⬇️
Bayern -23⬇️

2/3

⚡9.-Klässler:innen 2024 vs. 2018:

Mathe -24⬇️
Bio -24⬇️
Chemie -24⬇️
Physik -23⬇️

Die neuen Ergebnisse des IQB-Bildungstrends.

Ganz grob gesprochen: 9.-Klässler:innen liegen heute etwa auf Niveau der 8.-Klässler:innen noch vor 6 Jahren.
1/3

Reposted by Klaus Adam

Bildung ist die Grundlage unseres Wohlstands. Wie Nationen dieses Kapital vermehren können:

Mein Interview zu meinem Vortrag bei der Österreichischen Akademie der Wissenschaften @oeaw.bsky.social (ÖAW-/Statistik Austria-Lecture)

www.oeaw.ac.at/news/wie-hae...
Wohlstand durch Bildung
Wissen ist die Grundlage unseres Wohlstands. Wie Nationen dieses Kapital vermehren können, stellte Wirtschaftswissenschaftler Ludger Wößmann im Rahmen einer gemeinsamen Vorlesung von ÖAW und Statistik...
www.oeaw.ac.at

Reposted by Simon Wiederhold

Wie müssen sich Lernen und Unterrichten verändern in Zeiten von KI und Niedergang traditioneller Industrien?

🎙️ Mein Interview in der Welt darüber, was die aktuellen Transformationsprozesse für die Bildung bedeuten.

www.welt.de/politik/deut...
Zukunft des Lernens: „Testpersonen schneiden bei sprachlichen Aufgaben bereits ab Anfang 30 schlechter ab als Jüngere“ - WELT
Wie müssen sich das Lernen und das Unterrichten verändern in Zeiten von Künstlicher Intelligenz und dem Niedergang traditioneller Industrien? Ludger Wößmann ist Bildungsökonom am Ifo-Institut und erkl...
www.welt.de