Party Tegastes
banner
dorkusregis.bsky.social
Party Tegastes
@dorkusregis.bsky.social
Coral spawning, coral disease, a spattering of non-cnidarian related topics. He/him, overachieving hermit.
Reposted by Party Tegastes
this may be the pinnacle of my science communication career
January 27, 2024 at 12:50 AM
Reposted by Party Tegastes
I do not regret to inform you that we are going to win (h/t @miriamposner.com)

www.tandfonline.com/doi/full/10....
September 21, 2025 at 5:44 PM
Reposted by Party Tegastes
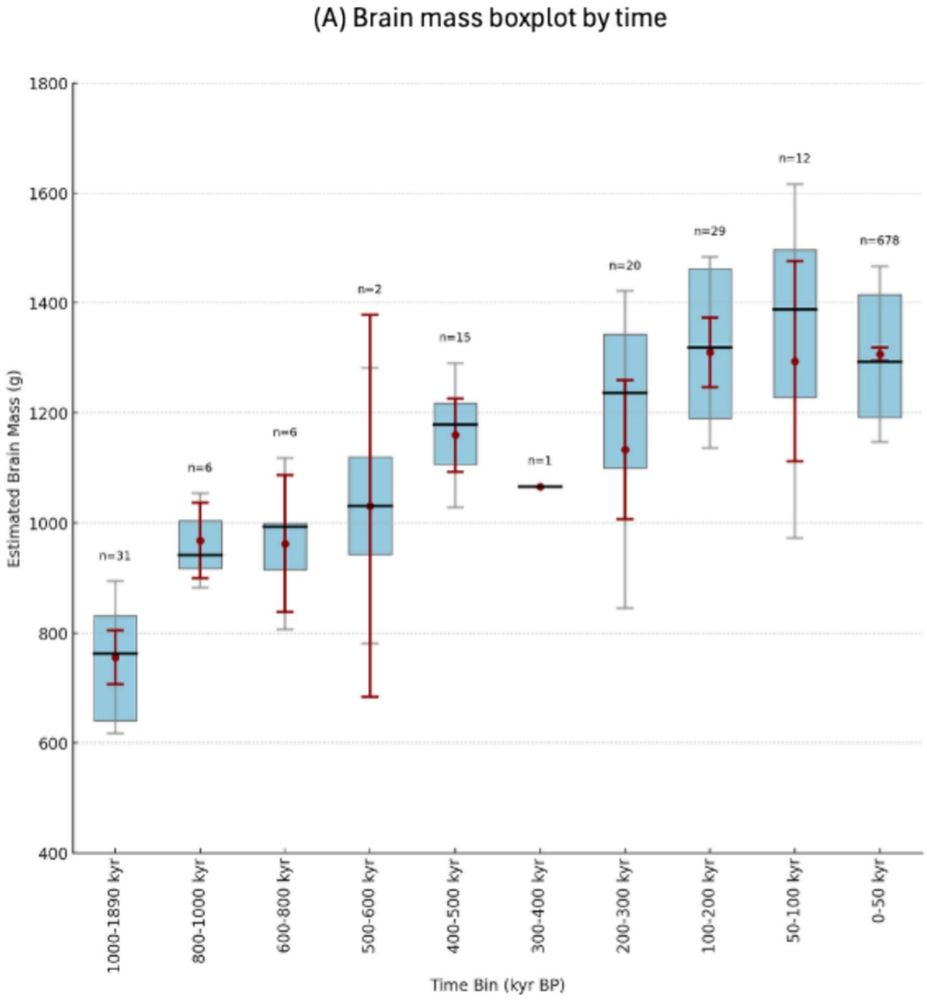
Our brains have a huge energy demand (seen figures for 20% body's total energy). That can be a problem during periods of extreme environmental change and increased survival pressures, which might be why the size increase of our brains slowed down. 🧪

Link: www.sciencedirect.com/science/arti...
August 27, 2025 at 7:30 AM
Reposted by Party Tegastes
happy thursday enjoy jinkx monsoon dragging jk rowling to the depths of hell and back
July 31, 2025 at 5:21 PM
Reposted by Party Tegastes
I thought this statement was a little over-the-top, especially when the video first stared, but OMG keep watching. I don’t know this guy or his animations, but now I want to.

That was like a wonder bath for my brain.
Timeline cleanse: do you want to see one of the best fossil animations I have EVER seen?

@kiabugboy.bsky.social you are literally a master of the form. BBC or Discovery (whoever pays more) should hire you immediately 🧪🦑⚒️
More Oncocerida from Gotland
YouTube video by Kiabugboy
youtu.be
May 2, 2025 at 1:22 AM
Reposted by Party Tegastes
This statement about the transphobic Supreme Court ruling by the UK's Crab Museum (yes a museum about crabs) is better than 99% of the statements I've seen on the topic

www.crabmuseum.org/visit

🦀🦀🦀🦀🦀🦀🦀🦀
April 22, 2025 at 9:16 PM
Reposted by Party Tegastes
Watching animals eat is like my biology crack. I don’t need it, I don’t have to do it, I don’t even always like it, but there’s just something about critters noshing on one another that leaves me gobsmacked. And nothing does it like the comb jelly Beroe [Thread 🧵]
📽️ www.youtube.com/watch?v=1xkN...
April 21, 2025 at 8:55 PM
Reposted by Party Tegastes
If you want to boycott industries associated with the Trump administration, stop buying tuna.

The tuna industry is the central lobby behind the decision to sell Pacific Islands Heritage National Monument for commercial fishing.

Tuna should have the same reputation as Tesla.
April 19, 2025 at 1:18 PM
Reposted by Party Tegastes
~600 seeds packs have been distributed throughout Fishtown, Kensington, & Port Richmond. Putting together the next batch, with the PA ecotype seeds for the poster series today.

It's not solving everything, but adding more insect habitat to urban ecosystems while educating? Worthwhile I think.
March 24, 2025 at 6:15 PM
Reposted by Party Tegastes
While this should be obvious...

Transgenic: An organism with genes from another species, often inserted for scientific research or agricultural improvements.

Transgender: A person whose gender identity differs from the sex they were assigned at birth.
March 5, 2025 at 2:22 PM
The spawning system has been donated to a local university but I hope to still be involved with it going forward. Still funny to see it on skates.
March 1, 2025 at 11:22 PM
March 1, 2025 at 1:37 PM
Reposted by Party Tegastes
If you have an iPhone and don’t want Apple AI monitoring/reading/learning from every single app you use, you need to make these changes (not just for Signal). 🧪
February 8, 2025 at 2:30 AM
Chocolate chip oatmeal Mount Olympus FTW!
December 24, 2024 at 9:30 PM
Reposted by Party Tegastes
I’ve found a ton of Instagram insect sellers who slap “sustainably sourced”, but never seem to elaborate what they mean by “sustainable”. Curious! So I checked their pages to see what I can find.

This one didn’t even try to hide it. You can see labels stating origin country and collection date. 1/9
December 13, 2024 at 6:49 PM
Reposted by Party Tegastes
HBO has declined to renew “Sesame Street” for new episodes. The series that’s been teaching generations of little kids since 1969 now has no studio.

Please consider donating to Sesame Workshop to ensure the residents of 123 Sesame Street are still around to teach kids of all needs and backgrounds.
Support Us - Sesame Workshop
Individual donors and partners can have a major impact. Join Sesame Workshop’s Mission to Help Kids Everywhere Grow Smarter, Stronger, and Kinder.
sesameworkshop.org
December 15, 2024 at 2:12 PM
Reposted by Party Tegastes
This is so spot on. As a climate scientist and public intellectual, I see or experience these often
December 10, 2024 at 12:57 PM
Reposted by Party Tegastes
What are the best starter packs you’ve found?
December 4, 2024 at 2:53 AM
Very thankful today for the community that is forming here. I thought it gone when Tw1tter fell but it is clearly rising from the ashes.
November 29, 2024 at 1:00 AM
Reposted by Party Tegastes
Reformatting this whole thing. Blocklist for Hugging Face, the AI company that's proudly stealing your tweets
November 27, 2024 at 12:25 AM
Reposted by Party Tegastes
I hope federally funded scientists are preparing for large scale, bad faith attacks by Musk and his troll army.

It’s pretty clear the DOGE operation is going to take snippets of grant proposals and papers, present them out of context, and direct weaponized harassment of individual people.
November 23, 2024 at 4:16 PM
Two examples of the opposite response to the unknown coral disease that killed the 1.0 version of the spawning system. These are from the kenti/bifaria complex and should grow in a corymbose morphology but instead grow arborescent?
November 26, 2024 at 6:16 PM
Two weeks worth of algal growth in the spawning system. Over the past year there was a distinct shift from a coralline algae dominant environment to an Ulva/Bryopsis/hair algae environment. I suspect this is from iron overload similar to what is discussed here:

www.sciencedirect.com/science/arti...
November 23, 2024 at 11:25 PM
A little garden pond I built to give the local amphibians a place to stay. Really helps wash away the stress of the day.
November 23, 2024 at 4:53 PM
Need to bite the bullet and start working on my first two lectures for the spring semester but fighting a mild case anxiety paralysis regarding my return to academia. Curses!
November 23, 2024 at 12:43 AM