Shantanu Singh
shantanu-singh.cc
Shantanu Singh
@shantanu-singh.cc
computation biology, drug discovery, computer vision, microscopy, statistics, machine learning, all happening at https://carpenter-singh-lab.broadinstitute.org/
Taking pictures of cells with a microscope, then extracting thousands of features from them is uncannily effective for quantifying cell state, esp. for genes and chemicals (e.g., Cell Painting). But we often average the rich single-cell data to simplify analysis. Can we do better?
#bioML 🧪
1/n
December 19, 2024 at 11:31 PM
🧪 So proud of this work by the dream team of @johnarevalo.bsky.social and Ellen Su: a new graph dataset for predicting drug-target interactions, using information from Cell Painting.

Stop by their poster in a few hours @ #NeurIPS! (details below)

PS: John is on the job market 🚀

#bioML #MLSky
December 13, 2024 at 9:43 PM
Pasting this here for those who coming looking for the takeaway of this paper
November 22, 2024 at 12:36 PM
Absolutely delighted to see this paper and your explainer! The U-turn paper (and that neat schematic) had me intrigued but a bit dismayed that it couldn't (yet) shed light on NN learning. Can't wait to read the paper, but will likely rely on your explainer to get there faster :D
November 19, 2024 at 12:59 AM
Related: I used NotebookLM to search through reviewer comments, internal discussions, and early versions of a 2023 manuscript (all in gdocs thankfully) to figure out if we had discussed testing a specific configuration. It did an excellent job of summarizing and citing the relevant sections!
November 11, 2024 at 1:04 AM
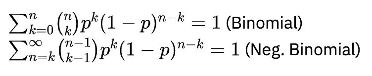
Thanks, both – yep, makes sense to use it to highlight the distinction between likelihood vs. density.

For completeness for whomever comes looking, it's worth noting that the support for the two is different (0 to n vs. k to ∞).
January 15, 2024 at 1:40 PM
Q for #stats folks: A 🤖 and I looked up intuitive terms for Binomial and Neg Binomial distributions:

-'Fixed-Trials Binomial' (for Binomial, focus on fixed # of trials, n)
-'Fixed-Successes Binomial' (for Neg Binomial, focus on fixed # of successes, k)

Is this symmetry emphasized in courses?
January 14, 2024 at 11:19 PM