retigi.bsky.social
retigi.bsky.social
retigi.bsky.social
@retigi.bsky.social
Lost in Navigation
Reposted by retigi.bsky.social
Physicist: It’s impossible for an electronic device to be 100% efficient!

Engineer:
May 7, 2025 at 3:15 PM
@liberaldp.bsky.social
Cem baskanimi niye X'te biraktiniz. En azindan haber vereydiniz biz gidiyoruz diye. Battle of Bastards'daki John Snow gibi akitlerin arasinda kalmistir orada.
April 6, 2025 at 4:26 PM
Reposted by retigi.bsky.social
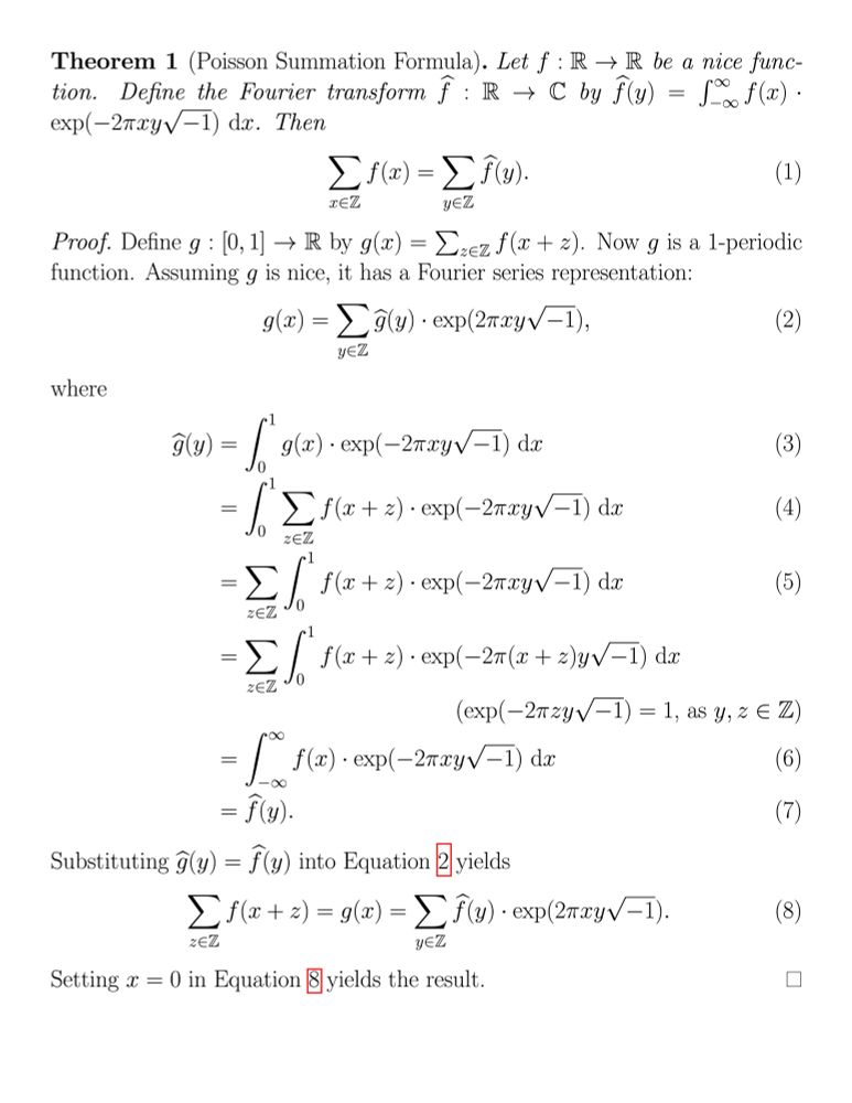
The Poisson summation formula is one of my favorite tricks. It seems magical, but the proof is quite simple:
November 17, 2024 at 4:45 AM
Reposted by retigi.bsky.social
January 10, 2025 at 1:57 PM
@igalia.com do you have any anticipation about when #chrome will start properly typesetting mathematical accents in #mathml. Even after two years of first release, math accents still does not stretch at all.
December 24, 2024 at 2:45 AM
Reposted by retigi.bsky.social
It's 1985, your C64 is switched on, currently loading a brand new game called Commando, your mates are on their way round to your house with more games, bags of Monster Munch Pickled Onion flavour and a bottle of Cherryade. You don't know it yet, but this is as good as life gets.
December 23, 2024 at 12:07 AM
Reposted by retigi.bsky.social
Scarier each day
December 22, 2024 at 6:51 AM
Reposted by retigi.bsky.social
Yet ANOTHER reason to hate Overleaf 🤮

Now it has built-in 'AI assistance' that sends your draft papers to a third-party LLM. It also means that it shills for the product from right within the editor.
November 27, 2024 at 8:44 AM
#Mathematics is not an object to be embedded in a text. It is a part of the text itself. Yet, #docbook group has yet to understand this simple fact. I wish #pretextbook would soon replace the #docbook crap. #techwriting #mathsky
December 19, 2024 at 9:42 AM
Is there a way to number (and label) only a specific line in an aligned equation environment in #typst. I need a similar functionality provided by amsmath latex package. @typst.app
December 13, 2024 at 11:48 AM
Hey #pretextgang. Admit that you actually enjoy misery and suffer that people endure while searching anything on internet related to #pretext. What was wrong with the name mathbook?
December 13, 2024 at 10:15 AM
Am I the only one that hates #linux directory structure to the bones? Define a folder named os, put all the os related folders (proc, opt, mnt, etc, "etc") in it. But no, let's screw even home folder by putting tons of other config file in it. Even a penguin could tell this is wrong.
December 13, 2024 at 6:15 AM
Reposted by retigi.bsky.social
Another thing I made this year. Pigeon history!
December 10, 2024 at 3:07 PM
Reposted by retigi.bsky.social
it's kinda sad that digital work is so hidden

like there's no messy study room or bookshelves full of works you've read or letters from people and gizmos and widgets you've built or stacks of drawings and diagrams

it's all just, hidden in folders, already lost in space, and eventually lost to time
December 10, 2024 at 10:12 AM
I don't understand why anyone has not come up with the idea of using #LyX as a #PreTeXt frontend. That combination would solve grad students' writing toolchain misery.

#PreTeXtGang
December 8, 2024 at 8:17 AM
Why is the ownership information for the refseek.com confidential? There is absolutely no information on the internet regarding the people/group behind the refseek. How could this be possible? #searchengines
RefSeek - Academic Search Engine
Academic search engine for students and researchers. Locates relevant academic search results from web pages, books, encyclopedias, and journals.
refseek.com
December 1, 2024 at 8:02 AM