Magnus Karlsson-Good
mkgood.bsky.social
Magnus Karlsson-Good
@mkgood.bsky.social
Clinical psychologist and doctoral student working to improve internet-based CBT. Interested in stats and open science. #ClinPsych #cbtworks

https://www.oru.se/english/employee/magnus_karlsson-good
I lol'd! (Currently on my ninth month of paid paternity leave)
December 13, 2024 at 7:21 PM
Here is my graph of mean danceability for each album.
October 21, 2023 at 7:22 PM
While preparing a lecture on internet-based treatments for mental disorders I came across this graph from the WHO World mental health report. It summarizes pretty well the reason for implementing either (a) digital interventions or (b) task-sharing.

#PsychSciSky 🧠🩺
October 6, 2023 at 5:44 PM
Finally, I want to highlight this paragraph in the discussion section. Hoping to see more research on cognitive factors and the effort we require from patients!
October 5, 2023 at 8:45 AM
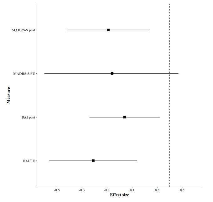
Post-hoc analyses did, however, find a significant interaction in the condensed treatment version. Participants with more ADHD symptoms and lower reading speed showed greater reduction in depressive symptoms.
October 5, 2023 at 8:44 AM
In short, we found that the condensed iCBT version was non-inferior at post-treatment, but inconclusive for depressive symptoms at follow-up.
October 5, 2023 at 8:44 AM