James Dennison
banner
jamesrdennison.bsky.social
James Dennison
@jamesrdennison.bsky.social
Political and social scientist
Prof @mpc-eui.bsky.social @eui-eu.bsky.social & Pierre Keller Prof @harvardkennedy.bsky.social
Interests: attitudes, behaviour, comms, migration, quant, 🇬🇧 & 🇪🇺 politics
www.jamesdennison.eu
The final process to and from "Europhoria" is represented graphically and in terms of factors to include null findings
July 24, 2025 at 3:40 PM
Covering three time periods—83-87, 88-92, 92-97—means that the reasons why "Europhoria" ended (and started) are covered: ERM in the short-term, pan-EU mobilisation around Maastricht and the disappointment of "1992", again in quant and qual terms.
July 24, 2025 at 3:40 PM
However, there was also a strong cultural component, with several trends in sport, music, media, and the arts temporarily moving British gazes and all-important identities towards the continent.
July 24, 2025 at 3:40 PM
"Europhoria" was perhaps strongest felt in finance after the 1986 plan for a single market by 1992 and fall of the Berlin Wall lead to capital inflow and promises of making "1000% in the 1990s!" with new ECU-denominated indices.
July 24, 2025 at 3:40 PM
For example, 3 expanded factors, below, are international communities (the relative importance of Europe, the Commonwealth, and the US), benchmarking of peer country's economies, and party cues. I also show that Thatcher's 1988 Bruges speech had little short-term impact unlike Delors' TUC speech
July 24, 2025 at 3:40 PM
To explain this—by 2025, otherworldly—enthusiasm for Europe, I combine the polisci literature on public attitudes and history literature on Britain & Europe, to greatly expand the "Calculations, Cues, and Communities" framework and process trace 12 factors across 3 time periods
July 24, 2025 at 3:40 PM
However, these trends alone aren't enough to warrant the portmanteau—common at the time—of "Europhoria". To understand that, we must turn to a range of qual sources from Europe & beyond, including the below dizzying pro-European quotes from Margaret Thatcher, Boris Johnson, Daily Mail, etc
July 24, 2025 at 3:40 PM
On many issues Brits favoured integration to a greater extent than other European publics: on foreign affairs, defence, the environment, a single market, and workers rights. The only real exceptions were on a single currency and an empowered EU Parliament...
July 24, 2025 at 3:40 PM
First, what "Europhoria"? Weren't we always "reluctant Europeans" and "awkward partner"? No. For a while, Brits overwhelmingly supported membership divided only by the various dreams of further integration. Rather than burst by Thatcher's Bruges Speech, such attitudes burst her premiership.
July 24, 2025 at 3:40 PM
Why were British attitudes to Europe so unusually positive in the late '80s and early '90s? 🇬🇧🇪🇺📈💶🌍🥰

In "Europhoria! Explaining Britain’s Pro-European Moment, 1988–1992"—now #openaccess in vol 73 of
@polstudiesassoc.bsky.social —I use a range of qual & quant data to explore why🧵
July 24, 2025 at 3:40 PM
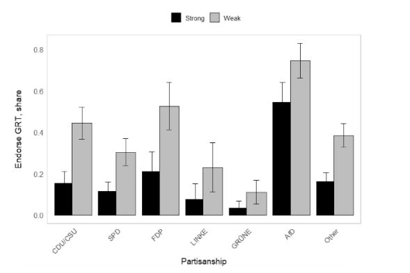
What is the "Great Replacement Theory", who believes it, and why? In this #openaccess study, we show GRT belief is alarmingly widespread across social groups, fusing conspiratorialism, grievance, & partisanship, challenging previous academic assumptions. journals.sagepub.com/doi/epub/10....
June 9, 2025 at 9:39 AM
Clegg's original post of the offending op-ed has a grand total of 26 likes over two days in the other place
April 29, 2025 at 8:41 AM
For now the database only includes European campaigns, typically on public opinion. We want that to change - you can help by submitting new ones in the link above.

The MCCD has metrics of demographics, substantive content, objectives, messaging strategies & links to the campaigns
November 12, 2024 at 11:20 AM
This makes inter-disciplinary work likely to be very fruitful if we can rethink distinct MCCs as belonging to a single field of study. Not least given the somewhat myopic division between immig/emigration, partly shown by MCCs' common funders. As such, we suggest the below 6 Qs
November 12, 2024 at 11:20 AM
"Migration Communication Campaigns: Towards a Research Agenda and Open Database"—by @mcarmoduarte.bsky.social, L. Piccoli & I—is now published in @jepp_journal! We aim to unify research on this booming field & present our #OA database (🔗below) of 301 campaigns! 🧵 www.tandfonline.com/doi/full/10....
November 12, 2024 at 11:20 AM