jamal---james.bsky.social
@jamal---james.bsky.social
Lab and computational scientist. Lives in south Tempe, AZ.
Arizona Prop 314, the initiative from the legislature that makes it a state crime to enter the US outside the ports of entry, passed easily. Here is the percentage difference statewide in voting precincts.
November 20, 2024 at 2:54 AM
A relative worked at MCTEC the last couple weeks. The employees received this list tonight of unofficial write-ins on Maricopa ballots.
November 17, 2024 at 2:27 AM
Where did Trump outperform Lake? Everywhere. What was the percentage margin of Trump - Harris minus Lake-Gallego. In the Valley it was the heavily Dem and Hispanic districts, in the south and west, where Trump significantly did better than Lake.
November 16, 2024 at 8:03 AM
Now that the vote count is winding down, I was interested in how prop 139 did across Arizona. With such a large margin in favor, were there any precincts that voted no? Only a few rurals.
November 16, 2024 at 6:55 AM
Am I going to have to fly to Canada for my next covid booster?
November 15, 2024 at 1:36 AM
Hegseth? Even for Trump that is dumbfounding. The confirmation hearings will be something.
November 13, 2024 at 1:10 AM
Subtracting the last set of early vote maps in Maricopa from current results, there are slightly more than 10k uncounted early votes Sup Dist 3. The approx party split based on differencing EV maps is shown on the right. Valenzuela should take the lead by a couple hundred votes going into recount.
November 11, 2024 at 9:16 PM
In Maricopa County there are about 181k early votes left to be counted. Below is the party composition of the final 85k votes. Is it wrong of me to be enjoying just how badly Kari Lake will lose?

Dem %: 31.9
Rep %: 24.1
Other %: 44.0
November 11, 2024 at 1:02 AM
Here's a map of the batch of votes that resulted in media calls for Gallego's Senate victory.
November 10, 2024 at 3:27 AM
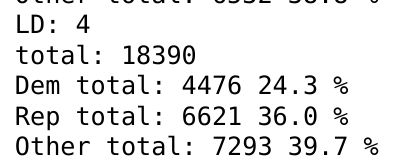
AZ LD4 is one of the few areas of Maricopa County where the final early votes do not have a significantly reduced R minus D percentage. Counted votes on left, to be counted on right. The increased Indy vote provides an outside chance for Butler but Marsh may be in trouble.
November 9, 2024 at 10:11 PM
Simacek is a lock to win the top spot in AZ LD2. Which of the two R's take the 2nd spot is uncertain. The two pics below show the counted vote party affiliation and nearly all of the uncounted vote.
November 9, 2024 at 9:29 PM
I have been downloading data from Maricopa County maps whenever they post new data. They update once or twice a day. The maps have data on the party affiliation of early votes. Here are the ballot counts on relevant map updates.
November 9, 2024 at 7:54 PM
Lake lost the latest drop from Maricopa to Gallego 53-44. A lot of this batch is from South Phoenix. It's going to get ugly for Lake. I don't suppose she'll ever concede.
November 9, 2024 at 6:37 PM
MariCo added another 90k early votes today. Dem +21, Rep +39, and Other +28. On pace to match the 2020 early vote of 1.9m only if the election day early vote drop offs are similar to the 2022 290k.
November 3, 2024 at 1:22 AM
Maricopa County early vote now surpasses all of 2022.
November 2, 2024 at 2:04 AM