Kenneth Dumack
@dumack.bsky.social
Aquatic Ecosystem Analyses 🦠 Protists and their interactions.
http://kennethdumack.de
http://kennethdumack.de
In case anyone’s wondering how things are going in my new position at the University of Koblenz - I think this picture makes it pretty clear we’re in great spirits! 😄 Julia and I are out sampling #cyanobacteria and #protistsonsky on local lakes :)
November 5, 2025 at 8:29 AM
In case anyone’s wondering how things are going in my new position at the University of Koblenz - I think this picture makes it pretty clear we’re in great spirits! 😄 Julia and I are out sampling #cyanobacteria and #protistsonsky on local lakes :)
🚨 We’re hiring! Join our Aquatic Ecosystem Analysis group #UniversityKoblenz,Germany as a PhD researcher (m/f/d) in #plankton #ecology. Dive into #protist- #algae interactions, molecular ecology & sustainable water management. Apply by 14.08.2025! 🌊🔬 #protistsonsky #parasites #microbiology
July 31, 2025 at 1:01 PM
🚨 We’re hiring! Join our Aquatic Ecosystem Analysis group #UniversityKoblenz,Germany as a PhD researcher (m/f/d) in #plankton #ecology. Dive into #protist- #algae interactions, molecular ecology & sustainable water management. Apply by 14.08.2025! 🌊🔬 #protistsonsky #parasites #microbiology
Check out this amazing #testate_amoeba -inspired #art! At my farewell party in Cologne last week, my wonderful (former 😔) colleagues gifted me this incredible commissioned piece from local artist Güler Hirsch - I love it, and it will brighten my desk & days for years to come :) #protistsonsky
July 17, 2025 at 6:57 PM
Check out this amazing #testate_amoeba -inspired #art! At my farewell party in Cologne last week, my wonderful (former 😔) colleagues gifted me this incredible commissioned piece from local artist Güler Hirsch - I love it, and it will brighten my desk & days for years to come :) #protistsonsky
New logo for my new workgroup :) Yes, it's abstract, but I have the feeling it draws attention #protistsonsky
July 15, 2025 at 7:09 PM
New logo for my new workgroup :) Yes, it's abstract, but I have the feeling it draws attention #protistsonsky
Thanks ICOP/ISOP2025! I had a blast. See you in Prague! #protistsonsky
June 28, 2025 at 7:21 AM
Thanks ICOP/ISOP2025! I had a blast. See you in Prague! #protistsonsky
Today is the last day of #ICOP-ISOP2025! It was a blast, I enjoyed it a lot, feel very motivated, met and talked with plenty of fellow scientists, but also regret I couldn't discuss with even more people! Until next time :) #protistsonsky
June 27, 2025 at 4:47 AM
Today is the last day of #ICOP-ISOP2025! It was a blast, I enjoyed it a lot, feel very motivated, met and talked with plenty of fellow scientists, but also regret I couldn't discuss with even more people! Until next time :) #protistsonsky
Evidence for #recombination, and maybe #meiosis, in free-living #Rhizaria! I wish the results were clearer. As so often we raised more questions than we could answer :) If you are into #sex and the #meiosis-toolkit, this is an important read! #ProtistsOnSky link.springer.com/article/10.1...
May 23, 2025 at 8:31 AM
Evidence for #recombination, and maybe #meiosis, in free-living #Rhizaria! I wish the results were clearer. As so often we raised more questions than we could answer :) If you are into #sex and the #meiosis-toolkit, this is an important read! #ProtistsOnSky link.springer.com/article/10.1...
My good friend and former colleague Fionn Clissmann painted a testate #amoeba shell for my formerly very empty walls in my new office. Love it! Stunning colours! #ProtistsOnSky
May 21, 2025 at 7:23 PM
My good friend and former colleague Fionn Clissmann painted a testate #amoeba shell for my formerly very empty walls in my new office. Love it! Stunning colours! #ProtistsOnSky
Only 1 week left to apply for both advertised researcher positions in my new lab! If you're excited about #microbial #eukaryotes and #ecological #interactions, don’t miss the deadline - spread the word! For more info, visit my website: www.kennethdumack.de
May 7, 2025 at 11:43 AM
Only 1 week left to apply for both advertised researcher positions in my new lab! If you're excited about #microbial #eukaryotes and #ecological #interactions, don’t miss the deadline - spread the word! For more info, visit my website: www.kennethdumack.de
🚨 2.5-year PhD or Postdoc Opportunity! Join me and the Aquatic Ecosystem Analysis group @UniKoblenz. 🔬 Microbial #ecology, #bioindicators, #protists, #wastewater 🌊 | German language skills are necessary,Apply by May 16 | 🔗 kennethdumack.de | tinyurl.com/dumack2
Please share! #MicroSky #ProtistsOnSky
Please share! #MicroSky #ProtistsOnSky
April 28, 2025 at 1:17 PM
🚨 2.5-year PhD or Postdoc Opportunity! Join me and the Aquatic Ecosystem Analysis group @UniKoblenz. 🔬 Microbial #ecology, #bioindicators, #protists, #wastewater 🌊 | German language skills are necessary,Apply by May 16 | 🔗 kennethdumack.de | tinyurl.com/dumack2
Please share! #MicroSky #ProtistsOnSky
Please share! #MicroSky #ProtistsOnSky
Friday was a special day for us! My first non-shared PhD student, Ana Cristina Martínez Rendón, concluded her work with us and earned her doctorate! Congratulations Cristina, and I wish you all the best for your future in the private sector! One of my last duties in Cologne!
April 27, 2025 at 10:58 AM
Friday was a special day for us! My first non-shared PhD student, Ana Cristina Martínez Rendón, concluded her work with us and earned her doctorate! Congratulations Cristina, and I wish you all the best for your future in the private sector! One of my last duties in Cologne!
🚨 3-year Postdoc Opportunity! Join me and the Aquatic Ecosystem Analysis group @UniKoblenz. 🔬 Microbial #ecology, #protist predation, #algae #plankton & flexibility | 💻 Environmental -omics | 🌊 Rivers 📅 Apply by May 15 | 🔗 kennethdumack.de | tinyurl.com/dumack
Please share! #MicroSky #ProtistsOnSky
Please share! #MicroSky #ProtistsOnSky
April 16, 2025 at 7:46 AM
🚨 3-year Postdoc Opportunity! Join me and the Aquatic Ecosystem Analysis group @UniKoblenz. 🔬 Microbial #ecology, #protist predation, #algae #plankton & flexibility | 💻 Environmental -omics | 🌊 Rivers 📅 Apply by May 15 | 🔗 kennethdumack.de | tinyurl.com/dumack
Please share! #MicroSky #ProtistsOnSky
Please share! #MicroSky #ProtistsOnSky
See figure J from our new publication. Looks rather similar! onlinelibrary.wiley.com/doi/full/10....
April 8, 2025 at 6:15 PM
See figure J from our new publication. Looks rather similar! onlinelibrary.wiley.com/doi/full/10....
Very proud to announce that my first (shared) doctoral student, Dr. Jule Freudenthal, finished her doctoral studies! 🎉 She did amazing work! I know my recent shift to a professorship is for certain parts due to her work. We both align very well which is why I am happy that she is now my postdoc :) 🎊
April 5, 2025 at 2:13 PM
Very proud to announce that my first (shared) doctoral student, Dr. Jule Freudenthal, finished her doctoral studies! 🎉 She did amazing work! I know my recent shift to a professorship is for certain parts due to her work. We both align very well which is why I am happy that she is now my postdoc :) 🎊
We applied the database to metatranscriptomes from soil, bark, and litter. Result? Trait profiles vary hugely by habitat. On bark, we found a spike in spore-forming and saprotrophic Amoebozoa. In soil: more pathogens.
April 4, 2025 at 9:44 AM
We applied the database to metatranscriptomes from soil, bark, and litter. Result? Trait profiles vary hugely by habitat. On bark, we found a spike in spore-forming and saprotrophic Amoebozoa. In soil: more pathogens.
Our key finding: Cell size predicts feeding mode in Amoebozoa. Small cells = bacterivores. Big ones? They go after everything - bacteria, fungi, even animals. Cercozoa are selective irrespective of size, Amoebozoa more opportunistic. Size = strategy! Almost no specialized eukaryvores in Amoebozoa!
April 4, 2025 at 9:44 AM
Our key finding: Cell size predicts feeding mode in Amoebozoa. Small cells = bacterivores. Big ones? They go after everything - bacteria, fungi, even animals. Cercozoa are selective irrespective of size, Amoebozoa more opportunistic. Size = strategy! Almost no specialized eukaryvores in Amoebozoa!
Amoebozoa with Cercozoa (Rhizaria) are the main soil protist taxa, which is why we compared them: We found both functional redundancy and complementarity. They share forms—naked, testate, flagellated—but differ in habitats and feeding strategies. So far, not too suprising for experts, but see this:
April 4, 2025 at 9:44 AM
Amoebozoa with Cercozoa (Rhizaria) are the main soil protist taxa, which is why we compared them: We found both functional redundancy and complementarity. They share forms—naked, testate, flagellated—but differ in habitats and feeding strategies. So far, not too suprising for experts, but see this:
🧠🦠🚨 New preprint alert! We’ve built the first trait database for Amoebozoa, and showcase ecological insights and evolutionary patterns. If you're into protists, soil ecology, or functional biodiversity - this is for you! #ProtistsOnSky #MicroSky 🧵👇
April 4, 2025 at 9:44 AM
🧠🦠🚨 New preprint alert! We’ve built the first trait database for Amoebozoa, and showcase ecological insights and evolutionary patterns. If you're into protists, soil ecology, or functional biodiversity - this is for you! #ProtistsOnSky #MicroSky 🧵👇
Here is a time series of Arcella consuming about ten (!) bacterial filaments in about a minute. Since it feeds simultaneously on several filaments, Arcella feeds a filament every three (!) seconds. Mindblowing numbers. Voracious little critter!
April 2, 2025 at 6:47 PM
Here is a time series of Arcella consuming about ten (!) bacterial filaments in about a minute. Since it feeds simultaneously on several filaments, Arcella feeds a filament every three (!) seconds. Mindblowing numbers. Voracious little critter!
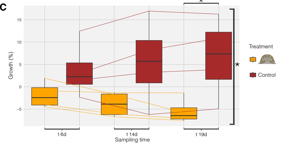
In microcosms, we added Arcella hemisphaerica to activated sludge and - boom - filamentous bacteria dropped significantly after 19 days. Predation confirmed via microscopy and video. Amoeba vs filament = mismatch!
April 2, 2025 at 6:47 PM
In microcosms, we added Arcella hemisphaerica to activated sludge and - boom - filamentous bacteria dropped significantly after 19 days. Predation confirmed via microscopy and video. Amoeba vs filament = mismatch!
We used SEM to dig deeper: temperature affects both groups, but Arcella also independently affects Ca. M. parvicella abundance. The kicker? No such effect from rotifers, long thought potential biocontrol agents.
April 2, 2025 at 6:47 PM
We used SEM to dig deeper: temperature affects both groups, but Arcella also independently affects Ca. M. parvicella abundance. The kicker? No such effect from rotifers, long thought potential biocontrol agents.
Strong negative correlations between Arcella spp. and both filament density and Ca. M. parvicella. Suggests more Arcella = less filamentous bacteria. But is it causation or just a seasonal pattern?
April 2, 2025 at 6:47 PM
Strong negative correlations between Arcella spp. and both filament density and Ca. M. parvicella. Suggests more Arcella = less filamentous bacteria. But is it causation or just a seasonal pattern?
Over a decade of data from 4 German WWTPs, we saw clear seasonal cycles in microbial communities. Cold = high Ca. M. parvicella, warm = more Arcella. The two correlate negatively. Suspicious? We thought so too.
April 2, 2025 at 6:47 PM
Over a decade of data from 4 German WWTPs, we saw clear seasonal cycles in microbial communities. Cold = high Ca. M. parvicella, warm = more Arcella. The two correlate negatively. Suspicious? We thought so too.
🚨New preprint out! We show that Arcella spp., a shell-bearing amoeba, controls the abundance of the filamentous bacterium Ca. Microthrix parvicella, the main culprit behind sludge bulking in wastewater treatment plants. Interested in applicability of protists? Read along! #protistsonsky #microsky
🧵👇
🧵👇
April 2, 2025 at 6:47 PM
🚨New preprint out! We show that Arcella spp., a shell-bearing amoeba, controls the abundance of the filamentous bacterium Ca. Microthrix parvicella, the main culprit behind sludge bulking in wastewater treatment plants. Interested in applicability of protists? Read along! #protistsonsky #microsky
🧵👇
🧵👇
I'm starting my research group in Koblenz on April 1st (no April Fools' joke!) and will soon advertise two postdoc positions in #protist #ecology and/or #genomics. If you're a (soon-to-be?) postdoc-level #protistologist looking for a job, get in touch! One position on wastewater, the other flexible!
March 27, 2025 at 3:29 PM
I'm starting my research group in Koblenz on April 1st (no April Fools' joke!) and will soon advertise two postdoc positions in #protist #ecology and/or #genomics. If you're a (soon-to-be?) postdoc-level #protistologist looking for a job, get in touch! One position on wastewater, the other flexible!