Adam Lewis
banner
adamlewis.bsky.social
Adam Lewis
@adamlewis.bsky.social
Mature student whose ambition is far higher than his ability. Things I like: #Lego, #math and piano that's too hard for me, 70s - 90s era video games, buying books I never have time to read.
1st time rushed to release but the long term relationship is beautiful
October 10, 2023 at 6:50 PM
Yeah not heard Stairway much for a whole. Not noticing a change in the piano dept tho. Für Elise all day every day
September 27, 2023 at 7:03 PM
I blame Bryan Adams and his first real finger bleeder
September 25, 2023 at 2:28 PM
He was catapulted onto earth in the upside down year of 1661.
September 23, 2023 at 5:39 PM
Outstanding work 😂
August 26, 2023 at 10:54 AM
Yes but with Shokz bone conduction. Cause you still have full ambient hearing I'm constantly forgetting they are on.
August 24, 2023 at 9:07 PM
I'm going for 33.
July 28, 2023 at 4:59 PM
My mother forced my father to buy one to store his fishing maggots cause she didnt want them in the main fridge. Can't remember how silent it was but try fishing tackle shops...
July 27, 2023 at 3:30 PM
Is this what the Doors Ray Manzarek used in Riders on the Storm?
July 26, 2023 at 6:37 AM
This new logo is so bad Im surprised he hasn't stuck it in marqee and blink tags like late 90's geocities
July 24, 2023 at 1:24 PM
Even though the game is pretty dull this is the reason I still fire up Elite Dangerous from time to time. Exploring a few systems you get some lovely planetscapes
July 23, 2023 at 6:38 PM
Unemployment and Warhammer don't normally work well together. Could lead to bankruptcy.
July 22, 2023 at 3:25 PM
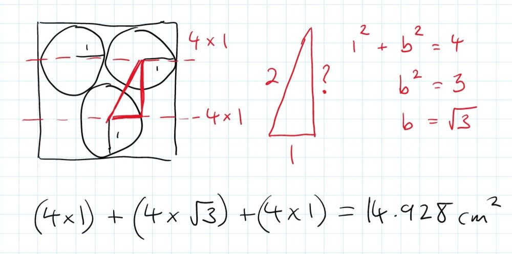
Thanks @karencampe.bsky.social for tip.

Use pythagoras to get unknon length of triangle then sum up the layers.

(4*1)+(4*sqrt(3))+(4*1) = 14.9282
July 21, 2023 at 3:49 PM
Been waiting two hours hoping for a response on this so my brain can stop hurting
July 21, 2023 at 1:35 PM
and the 1970 version would have better box art.
July 21, 2023 at 5:43 AM
They should split it into goods / services / other with no adwords on other
July 19, 2023 at 2:24 PM
Signed John Dickie haha
July 19, 2023 at 11:21 AM
Micro Machines Turbo Tournament 2 on Megadrive/Genesis
July 18, 2023 at 1:22 PM
There is not enough Lorum Ipsum in the world to achieve this.
July 18, 2023 at 9:19 AM