#neutron
Neutron stars density crushes atoms into neutrons - Learn how to choose the perfect telescope --> https://www.telescopeadvisor.com/how-to-choose-a-telescope.php and Get started with this beginners telescope --> https://amzn.to/3JaxN9u #Astronomy #AmazonAffiliate #NASA #Space
100 Fascinating Facts about Neutron Stars
100 Fascinating Facts about Neutron Stars
www.jameswebbdiscovery.com
November 14, 2025 at 11:52 AM
NASA Astronomy Hourly Picture - 1995-12-30: LMC X-1: A Black Hole Candidate
#Astronomy #NASA #Space
November 14, 2025 at 11:20 AM
I'm just curious, @vincentwaller.bsky.social, if enough people see The SpongeBob Movie: Search for SquarePants in theaters, do you think Nickelodeon will start working on a theatrical Jimmy Neutron movie revival, or no? 🤔 @nickalive.bsky.social @paramountpictures.bsky.social
November 14, 2025 at 11:19 AM
I think you'll appreciate what Rocket Lab has planned for its Neutron vehicle - launching sometime mid-2026 from Wallops Island, Va.
November 14, 2025 at 9:56 AM
jimmy neutron head.png
November 14, 2025 at 8:15 AM
ベック氏、Neutronの初打ち上げを2026年へ延期。ワロップス搬入は26年Q1、成功確率を優先し慎重に進める判断だ。

Neutron計画が1年スライド ロケットラボ、急がず確実性を選ぶ戦略転換 novaist.jp/articles/neu...
Neutron計画が1年スライド ロケットラボ、急がず確実性を選ぶ戦略転換 - NOVAIST
ピーター・ベック氏が決算説明会で中型ロケットNeutronの初打ち上げを2026年に延期。バージニア州ワロップスへの機体搬入を第1四半期に行い、成功確率最大化を狙い急がず確実な初飛行を目指す方針を示した。計画変更は製造・試験工程の余裕確保と安全重視の判断だ。
novaist.jp
November 14, 2025 at 7:32 AM
Ethan Payne, Lee McCuller, Katerina Chatziioannou
Photon counting readout for detection and inference of gravitational waves from neutron star merger remnants
https://arxiv.org/abs/2511.09656
November 14, 2025 at 7:21 AM
Electron: to bring democracy to the grid.

Neutron: Jared Leto

Boson: sweaty offspring
November 14, 2025 at 7:09 AM
Neutron encore reportée : Rocket Lab peut-il tenir le cap face aux géants du secteur ?https://air-cosmos.com/article/rocket-lab-nouveau-report-de-neutron-70645 #Space #Innovation #SpaceTech #RocketLab
November 14, 2025 at 7:08 AM
Bhavay Luthra, N. J. Upadhyay: Non-Resonant Alpha-Induced Neutron-Emission: A Multi- Method Comparison Of Nuclear Reaction Rates https://arxiv.org/abs/2511.10536 https://arxiv.org/pdf/2511.10536 https://arxiv.org/html/2511.10536
November 14, 2025 at 6:45 AM
Ethan Payne, Lee McCuller, Katerina Chatziioannou: Photon counting readout for detection and inference of gravitational waves from neutron star merger remnants https://arxiv.org/abs/2511.09656 https://arxiv.org/pdf/2511.09656 https://arxiv.org/html/2511.09656
November 14, 2025 at 6:43 AM
Tanuman Ghosh, Shiv Sethi, Gulab Chand Dewangan, Matteo Bachetti, Vikram Rana, Ranjeev Misra: Synchrotron radiation from NGC 470 HLX1 - a hidden hyperluminous accreting neutron star? https://arxiv.org/abs/2511.10183 https://arxiv.org/pdf/2511.10183 https://arxiv.org/html/2511.10183
November 14, 2025 at 6:41 AM
Neutron stars can live billions of years - Learn how to choose the perfect telescope --> https://www.telescopeadvisor.com/how-to-choose-a-telescope.php and Get started with this beginners telescope --> https://amzn.to/3JaxN9u #Astronomy #AmazonAffiliate #NASA #Space
100 Fascinating Facts about Neutron Stars
100 Fascinating Facts about Neutron Stars
www.jameswebbdiscovery.com
November 14, 2025 at 5:31 AM
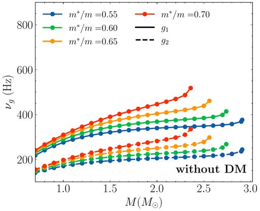
$g$-mode oscillations of dark matter admixed neutron stars. Swarnim Shirke et. al. https://arxiv.org/abs/2506.18892
November 14, 2025 at 5:09 AM
Neutron stars collisions send gravity waves - Learn how to choose the perfect telescope --> https://www.telescopeadvisor.com/how-to-choose-a-telescope.php and Get started with this beginners telescope --> https://amzn.to/3JaxN9u #Astronomy #AmazonAffiliate #NASA #Space
100 Fascinating Facts about Neutron Stars
100 Fascinating Facts about Neutron Stars
www.jameswebbdiscovery.com
November 14, 2025 at 4:54 AM
i fucking love them just saying "this is the theme song, for jimmy neutron"
November 14, 2025 at 4:54 AM
The systemic recoil velocity distribution and the scale height of field millisecond pulsar systems: Implications on neutron star retention fractions in star clusters. Hao Ding https://arxiv.org/abs/2505.11357
November 14, 2025 at 4:52 AM
why does the jimmy neutron theme go so hard
November 14, 2025 at 4:49 AM
Jimmy Neutron stans DNI
November 14, 2025 at 4:43 AM
Hughbie Neutron is my Hubby Neutron
November 14, 2025 at 4:43 AM
Photon counting readout for detection and inference of gravitational waves from neutron star merger remnants
https://arxiv.org/pdf/2511.09656
Ethan Payne, Lee McCuller, Katerina Chatziioannou.
https://arxiv.org/abs/2511.09656
arXiv abstract link
arxiv.org
November 14, 2025 at 4:37 AM
Synchrotron radiation from NGC 470 HLX1 - a hidden hyperluminous accreting neutron star?
https://arxiv.org/pdf/2511.10183
Tanuman Ghosh, Shiv Sethi, Gulab Chand Dewangan, Matteo Bachetti, Vikram Rana, Ranjeev Misra.
https://arxiv.org/abs/2511.10183
arXiv abstract link
arxiv.org
November 14, 2025 at 4:35 AM
Photon counting readout for detection and inference of gravitational waves from neutron star merger remnants. Ethan Payne et. al. https://arxiv.org/abs/2511.09656
November 14, 2025 at 4:35 AM