el Víctor Bargiela
banner
victorbargiela.bsky.social
el Víctor Bargiela
@victorbargiela.bsky.social
Doctorand en Lingüística a la UNED. Canvi lingüístic, fonologia i llengües minoritzades. Un més al GLiDi. També toco l'arpa, ballo a l'Esbart L'Espiga d'Or i escric sobre literatura i escena a llegir.cat.
Set mesos i mig d'estada a l'@ilgusc.bsky.social que van acabar fa poc. No tinc paraules per expressar la immensa gratitud que sento per tot el que m'emporto. Per la recerca, per la llengua, pels cafès, per l'entusiasme i per fer-me sentir part d'una comunitat preciosa, moitísimas grazas 💙
May 12, 2025 at 12:45 PM
Se es do Barbanza, galegofalante e tes entre 20 e 50 anos, podes axudarnos a saber máis sobre o acento galego! 🔍
🗣 Busco entre 10 e 15 persoas para unha entrevista presencial breve (10-20 minutos).
📩 Se che interesa participar, escríbeme por privado ou por correo electrónico!
April 1, 2025 at 12:03 PM
🟥⬜️¡Busco cántabrxs! ⬜️🟥
⏰Del 7 al 19 de enero estaré grabando en Santander/Comillas para investigar sobre el castellano de Cantabria.
⚠️Necesito informantes jóvenes (18-30) y mayores (60-75) nacidos en Santander y en la Costa Occidental para entrevistas presenciales de 45-60 minutos.
December 12, 2024 at 4:39 PM
🔊 Prosody (intonation and duration) of Asturleonese substrate survived the language shift and was handed down to Leonese Spanish, which shows how suprasegmental features show greater resistance to linguistic change! ✨
November 22, 2024 at 4:13 PM
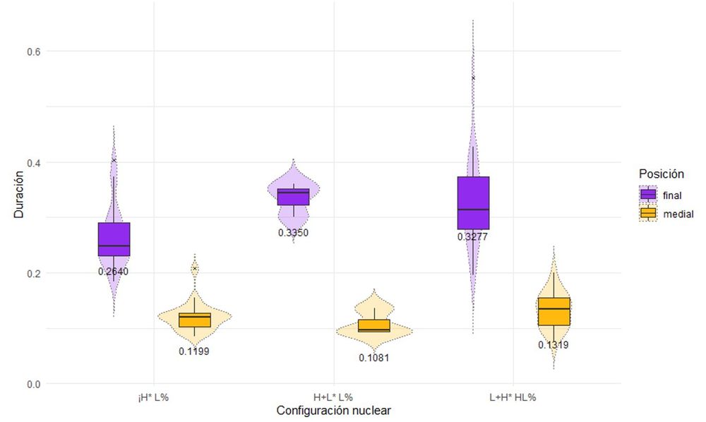
⚠️Duration matters!
The final syllable lenghtening in all-falling patterns appears phonologically significant. This aligns with findings from Asturian and parallels rare cases of "durationally specified countours" also seen in West Greenlandic and Valencian 🌐
November 22, 2024 at 4:13 PM
📉 Our analysis showed that descending patterns dominate (Rising-falling: ¡H* L%, L+H* ¡HL%, L+H* HL%; and all-falling: H+L* L%). This is a reflection of Asturleonese substrate prosody! 🌱
November 22, 2024 at 4:13 PM
We analysed absolute and reiterative interrogative sentence in the Leonese Páramo (Northwest of Spain), focusing on their intonational patterns and syllable duration using Sp_ToBI annotation system 🎯
November 22, 2024 at 4:13 PM