Trevor Kafka
banner
trevorkafka.com
Trevor Kafka
@trevorkafka.com
World traveller, food lover, language enthusiast, and math tutor!
www.trevorkafka.com
Somerville easily has some of the the best bike infrastructure in the Boston area! (And, potentially the entirety of the United States, too!)
April 25, 2025 at 12:04 AM
To be honest, there's so many things everywhere such that so far my impression is that it's hard to go wrong regardless of what you end up doing! I'll share anything of particular note, though, if anything ends up sticking out.
February 15, 2025 at 8:12 PM
disagree
February 4, 2025 at 9:15 PM
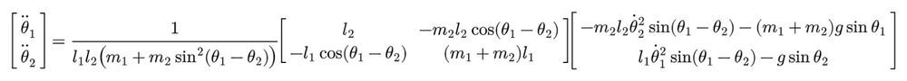
This required using Lagrangian mechanics and matrix algebra to derive the second-order differential equations of motion in order to calculate the motion of the spheres and rods in this simulation. Here were the necessary equations in matrix form and then the total monstrosity it ended up as in code.
November 28, 2024 at 5:20 AM
Thanks! I just did this today. :)
November 17, 2024 at 3:41 AM