TKRspatial.bsky.social
banner
tkrspatial.bsky.social
TKRspatial.bsky.social
@tkrspatial.bsky.social
GIScientist, #Geographer, Professor, Programmer, #UAV pilot, and Dad interested in remote sensing, and spatial pattern. R. Director of the PATTERN Lab, York University
Excited that my former MSc student Barbara Kerr was awarded the Paul Simpson-Housley Award for her excellent geography thesis written last year. 🧪

Kerr, B. and T.K. Remmel. 2024. Activity-based measures of landscape fragmentation. Landscape Ecology 39:198.

link.springer.com/article/10.1...
Activity-based measures of landscape fragmentation - Landscape Ecology
Context Landscape fragmentation, which has demonstrated links to habitat loss, increased isolation, a loss of connectivity, and decreased biodiversity, is difficult to quantify. Traditional pattern-ba...
link.springer.com
March 21, 2025 at 12:16 AM
I finally made it happen; I deactivated my account on Twitter/X last week and am enjoying way less hatred and propaganda in my life. Happy to read about science again. Goodbye @TKRspatial, it was a good run (in the beginning).
March 10, 2025 at 9:09 PM
I got some really nice emails from students today thanking me for their awesome stats class. Yup, stats. I’ll count that as a win. #YorkU #EUC
December 20, 2024 at 2:50 AM
Merry Christmas and happy holidays! Re-running our small COVID lockdown project (sound on).

youtu.be/9MPRtO3oLUU?...
Remmel Christmas Message
YouTube video by PATTERN Lab
youtu.be
December 18, 2024 at 2:16 PM
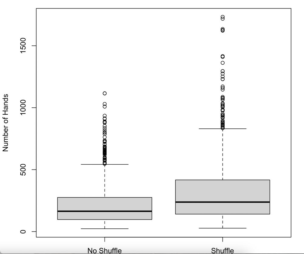
I wrote code in #Rststs to simulate the card game “War”. Here are the simulation results for how many hands you need to play to win. Shuffling your cards after each hand prolongs the game. You’re in on average for a few hundred hands; perhaps even over 1000.
November 26, 2024 at 2:47 PM
It’s Friday and all of the meetings for the week are over. It was time to start the coding on my next project — it brought me to my happy place. Drawing order out of disorder. Running iterations. Accumulating results. Debugging. Nice!
November 23, 2024 at 4:23 AM
For #GISday2024, the Toronto Region Conservation Authority set-up an AR (augmented reality) topographic sandbox for us to try. Super cool. #YorkUniversity #EUC
November 20, 2024 at 7:54 PM
Reposted by TKRspatial.bsky.social
Too bad some politicians don’t believe in science
Here is the source (should have linked that) graphics.wsj.com/infectious-d...
November 16, 2024 at 11:09 AM
A former student of mine saw this in a classroom and sent me the picture. I fully approve.
November 13, 2024 at 7:04 PM
Reposted by TKRspatial.bsky.social
x.com/kajakallas/s...
Kaja Kallas
@kajakallas👏

Today, 75 years ago, my family, together with 20,000 #Estonians, was deported to Siberia by the Soviets. These crimes should remain a dark chapter of history, but #Russia is using the same cruelty in #Ukraine.
ALT⬇️
March 25, 2024 at 12:03 PM
Leveraging geomatics to understand the impact of climate change on environments and people — the focus of our Catalyzing Interdisciplinary Research Cluster (CIRC) #YorkUniversity; jointly funded by #YUResearch, #YorkUEUC, and #LassondeSchool. Partnering with the Ecological Footprint Initiative.
March 1, 2024 at 6:04 PM
I review a lot of academic papers — journal submissions — they take a lot of time. Some are good, some are poor, many somewhere in between. I recently had the privilege of reviewing a great paper. Seldom am I on the edge of my seat, reading a real page-turner; thank you anonymous authors.
February 28, 2024 at 3:35 AM
Gave a guest talk in #GEOG5600 today about measuring landscape pattern and structure. Got to talk about lots of things, including 3D morphological segmentation. link.springer.com/content/pdf/...
February 1, 2024 at 2:57 PM
Congratulations to Kathleen Bao on a solid MSc defence this morning. #YorkUniversity
January 30, 2024 at 10:28 PM
Saw this on X/Twitter and felt compelled to share this elegant algorithm:
pong-wars.vercel.app
January 27, 2024 at 8:02 PM
Ok, I’m new to this platform (@TKRspatial over on X/Twitter); getting the lay of the land.
January 26, 2024 at 2:05 PM