Tom Finch
banner
tfinch.bsky.social
Tom Finch
@tfinch.bsky.social
Birds, science, climate, hills. Dad. RSPB Conservation Scientist. Views here are my own. Sorry for not getting back to you sooner.
Some recent beaver activity too
September 10, 2025 at 11:01 AM
I really like this paper, which models patterns and drivers of occupancy change across GB for 1252 insect species. Especially like Fig 5 which shows the most important negative and positive drivers for each grid square #conservationscience 🌍
www.nature.com/articles/s41...
September 4, 2025 at 7:28 AM
July 1, 2025 at 11:14 AM
On a similar vein, this graph shows something which I think is quite interesting (and also quite nerdy tbh). The least productive quarter of Scottish land produces a much smaller fraction of Scotland's food compared to the equivalent in Northern Ireland. E&W are intermediate.
June 30, 2025 at 8:48 PM
One snippet which I found quite interesting - if you do the modelling at UK scale to identify pathways which minimise the impact on food production from net zero, you end up with a situation in which impacts on food production are really unequally split between nations (green):
June 30, 2025 at 8:38 PM
...but today's statistical update from Forest Research confirms fears that budget cuts in Scotland have caused the area of new planting in the UK to dip again: www.forestresearch.gov.uk/tools-and-re...
June 26, 2025 at 9:35 AM
Yesterday's progress report from the Committee on Climate Change was cautiously positive about recent woodland creation rates...
June 26, 2025 at 9:35 AM
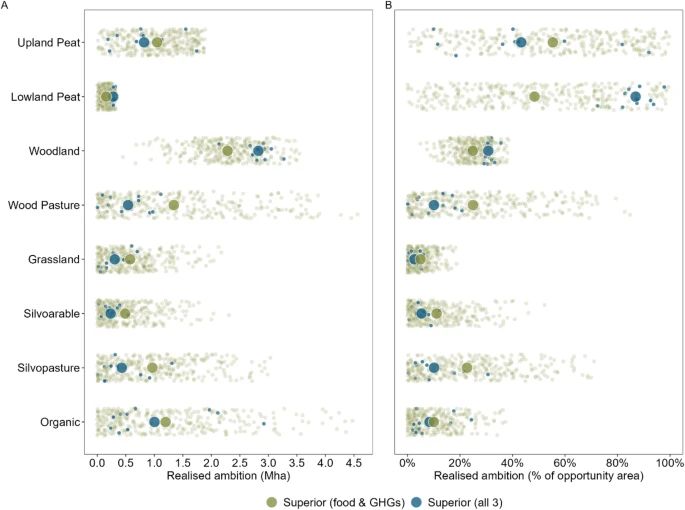
These 'efficient' pathways involve changes across large areas of land, but there's arguably something in the mix for everyone. Nature-based solutions like woodland creation 🌳 and lowland peatland restoration 🫗are particularly important. 3/
June 24, 2025 at 12:42 PM
Various combinations of ecosystem restoration and farm management change can, in theory, get the UK's land system to net zero (or way beyond) by 2050, but some of these pathways are more efficient than others, in terms of minimising impacts on food production 🍞 and maximising benefits to birds 🐦: 2/
June 24, 2025 at 12:42 PM
June 21, 2025 at 12:26 PM
Two photos taken from the same location. No comment needed.
June 13, 2025 at 8:43 PM
We are on the Isle of Jura prepping for the fell race. The hills are brutal and stunning. Beinn Shiantaidh has this amazing "fossil rock glacier" spreading down its east face. The bog cotton is out in force, as are the cuckoos (and midges, obvs)
May 22, 2025 at 8:34 AM
The birds were quite distracting: several Cuckoo, Whinchat, Grasshopper Warbler and Red Grouse being highlights, topped off a drumming Snipe #birdingScotland
May 16, 2025 at 10:50 PM
The bog cotton was on good form (including among the recently planted oak and hawthorn 🧐)
May 16, 2025 at 10:50 PM
Great night to be up our local hill, here casting its shadow on the haze of the Carse of Forth
May 16, 2025 at 10:50 PM
Our local woodland creation project self-identifies as a nature-based solution. I'm torn as to whether 'forest operations' belong here. There was a Curlew calling. Won't be here much longer, but that was probably true even before this project was conceived
May 11, 2025 at 11:02 AM
How do the deer know to always stand on the skyline?
March 23, 2025 at 6:58 PM
Working with stakeholders in two upland landscapes, we developed spatially explicit scenarios of future land use and tree cover and predicted the impact on birds and ecosystem services.
March 17, 2025 at 9:56 AM
March 17, 2025 at 9:51 AM
This is what I fell for and what you should look out for
February 26, 2025 at 11:31 AM
My local museum has sellotaped a fruit bat to the wall
February 16, 2025 at 9:50 PM
Our new paper, free to read in Bird Study, compares bird counts on solar farms and adjacent farmland. For solar farms with infrequently cut/grazed grass and bounded by hedges/trees, both farmland and woodland birds were more abundant than on adjacent arable land www.tandfonline.com/doi/full/10....
February 14, 2025 at 2:16 PM
Yet this is what the sites look like: lots of mounding, and miles of new deer fences. Aren't these primarily the tools of forestry rather than of nature conservation? 4/
February 2, 2025 at 6:10 PM
This paper not only identifies which new crops might be growable in the UK under climate change, but shows that for most crops which are currently grown here, suitability is expected to increase (though least so in SE, where most crops currently grow) rmets.onlinelibrary.wiley.com/doi/epdf/10....
January 30, 2025 at 3:45 PM
Our town clock is, er, temporarily closed
December 7, 2024 at 2:37 PM