Tapio Räsänen
tapiorasanen.bsky.social
Tapio Räsänen
@tapiorasanen.bsky.social
Senior researcher, Kela Research Department (Finland), PhD in economics. Family policy, mental health and gender gaps

https://rasanentapio.github.io/
Hyvää huomenta, punavihreät kuplani!
June 3, 2025 at 7:27 AM
Onneksi on perjantai
April 25, 2025 at 6:10 AM
Kun annat selaimen täyttää kaikki kentät automaattisesti:
March 26, 2025 at 7:04 AM
Full text here:
March 17, 2025 at 1:28 PM
Why not? Best option @flux-consortium.bsky.social
March 11, 2025 at 12:08 PM
Onneksi emme jää mistään paitsi, huomenna sitten voidaan lukea mitä tämä kaikki tarkoitti:
yle.fi/a/74-2014652...
February 28, 2025 at 5:51 PM
Back to work. These are my #stata tools in the middle, #rstats tools on the left. The pencil sharpener is my #ggplot2 tool
February 19, 2025 at 7:11 AM
Nyt se tapahtui:
February 11, 2025 at 11:58 AM
Perhevapaauudistus tuli voimaan 2022 elo-syyskuun vaihteessa, niin uudistuksen pitäisi vaikuttaa kotihoidon tuen saajien määrään jo 2023 syksyllä - jännittävää nähdä paljon käyttö vähenee!

Vuoden 2018 tammikuussa kotihoidon tuen saajia oli 46 731 ja vuoden 2023 syyskuussa saajia oli 27 746.
February 7, 2025 at 7:51 AM
Kotihoidon tuen saajien määrä on vähentynyt jo ennen perhevapaauudistusta:

Vuonna 2007 saajia oli vuoden lopussa 60 000 ja vuonna 2022 saajia oli 37 000

@kelantutkimus.kela.fi Lähde: Kelasto (Lastenhoidon tukien saajat kuukauden lopussa) #kotihoidontuki #varhaiskasvatus
February 7, 2025 at 6:56 AM
Our article on early education vouchers shows how vouchers affected the share of public day care ⬇️ and subsidized private day care (used with of private day care allowance) ⬇️, but not the number of private day care centres.

English summary of our article (in Finnish):
www.julkari.fi/handle/10024...
February 3, 2025 at 6:35 AM
Viisi tuntia myöhemmin ☕
January 30, 2025 at 12:46 PM
Alla kuviona: aloitusvaiheessa sairauspäivien määrä voi tuplaantua, mutta vähenee muutamassa kuukaudessa
January 28, 2025 at 12:36 PM
Tutkimus olikin Suomesta. Jotenkin tuli ruotsalaiset mieleen, kun näitä tietoja lyhyistä sairaspoissaoloista ei saa Suomen aineistoista. Lapsen kodin ulkopuolisen hoidon aloittamisen yhteys vanhempien poissaoloihin olikin vain n. 1 päivä/kk. Ks. myös kuvio 2 ja 3:

bmjopen.bmj.com/content/7/9/...
January 28, 2025 at 12:26 PM
We interact the model and demonstrate that "always-taker" mothers (who would choose home care regardless of the benefit level) have the highest child penalty in earnings while "never-taker" mothers (who do not react to the instrument) have the shortest childcare leaves and smallest penalty.
January 16, 2025 at 5:34 PM
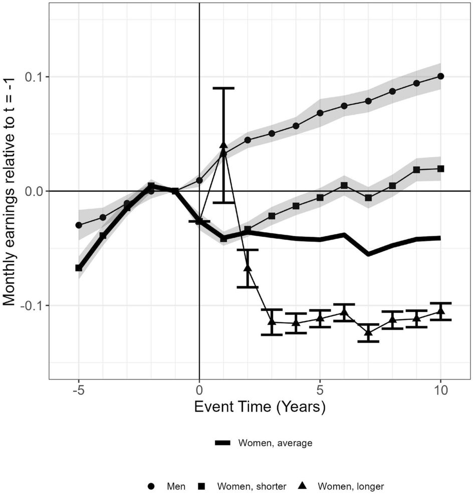
The paper demonsrates that employed women who had shorter than average child care leaves are more likely to catch up to men in monthly earnings. Employed women who have longer childcare leaves than their peers have the highest child penalty in monthly earnings.
January 16, 2025 at 5:22 PM
Does #EconSky need another child penalty paper? Professor Eva Österbacka's and my contribution to this topic in the European Journal of Population

We compare earnings of mother's to their peers when they return to workplace by duration of childcare leave
January 16, 2025 at 4:58 PM
Uusi blogi lapsiperheiden pienituloisuudesta. Vuoden 2024 sosiaaliturvan muutokset saattoivat lisätä lapsiperheiden pienituloisuutta sekä toimeentulotuen tarvetta

tietotarjotin.fi/tutkimusblog...
January 8, 2025 at 7:41 AM
Visited Harvest Cafe and Bakery in Rotterdam during the ESPE 2024 conference in June this year - highly recommend! #coffee
November 20, 2024 at 6:20 AM