Tamir Bahar
tamir.dev
Tamir Bahar
@tamir.dev
Well, seems you're not missing too much.
I have it "disabled", which should make copilot "hidden and unavailable", but I still get it in code reviews (and possibly other places, I did not check thoroughly).
January 26, 2025 at 3:55 PM
There's also the "Visibility" option, which hides it everywhere
January 19, 2025 at 7:39 PM
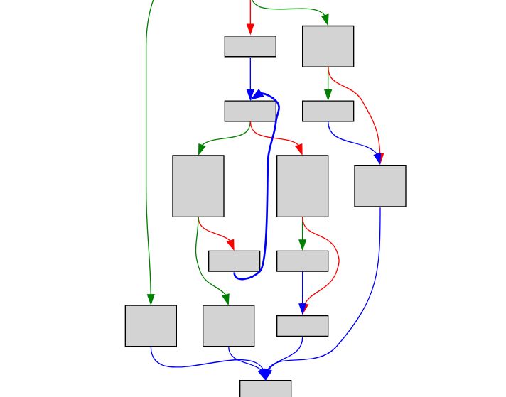
Added the overlay-note-region-name-pending feature to the demo behind a feature-flag.

You can play with them at tmr232.github.io/function-gra...

Use `cfg-overlay-start: message` and `cfg-overlay-end` comments to denote the start and end of a region.

#FunctionGraphOverview
January 13, 2025 at 10:46 AM
Took more work than I expected (SVG manipulation is tricky business), but I now have a working version of on-graph region comments!

#FunctionGraphOverview
January 12, 2025 at 7:39 PM
New version of Function-Graph-Overview is out for both VSCode and JetBrains IDEs.

This is a bugfix release, resolving some infinite loops in rendering. Thanks @buherator.bsky.social for the fix!

JetBrains: plugins.jetbrains.com/plugin/25676...
VSCode: marketplace.visualstudio.com/items?itemNa...
January 6, 2025 at 1:26 PM
That's not how counting works, GitHub...
January 3, 2025 at 3:17 PM
Felt the need to run a small benchmark.
Compared your method, regex, and EAFP.
Checked for random strings, numbers, and a special case for integers (with modified checks).

Int conversions beat everything, but your method is faster for floats!
December 19, 2024 at 9:29 PM
@jetbrains.com how can I _not_ leak JCEF Helper processes when debugging plugins for your IDEs?
December 7, 2024 at 7:29 PM
And a picture!

(Albums of most-listened-to songs, if we only count the most-listened-to song in every album)
December 4, 2024 at 11:09 PM
CoreC++ day 2

Ofek Shilon, Get More Out of Compiler Explorer

#corecpp2024
November 28, 2024 at 9:50 AM
Gili Kamma, Building Effective Embedded System Architectural Best Practices

#corecpp2024
November 27, 2024 at 12:44 PM
Countdown to the next code slide!
November 27, 2024 at 12:20 PM
Yaniv Mordekhay, Reinventing the Wheel: A Story of a JSON Schema Library for C++
November 27, 2024 at 12:03 PM
Elazar Leibovich, Debugging without Code: Random Tips on How to Debug Closed Source

#corecpp2024
November 27, 2024 at 10:37 AM
The unibrow operator!

#corecpp2024
November 27, 2024 at 8:11 AM
@inbal-l.bsky.social giving a talk about C++26 Reflection!

#corecpp2024 #cpp
November 27, 2024 at 7:48 AM
Core C++ 2024 is starting!

#corecpp2024
November 27, 2024 at 7:29 AM
Time for another Go abomination!
This time - Python's custom sort pattern:
```
people.sort(key=attrgetter("name", "age"))
```
Becomes:
```
slices.SortFunc(people, cmpgen.CmpByFields[Person]("Name", "Age"))
```
And all you need is a little bit of codegen...
github.com/tmr232/cmpgen

#golang #python
November 19, 2024 at 1:34 PM
My latest project is a control-flow-graph visualizer for VSCode.

You can try the online demo tmr232.github.io/function-gra...

Or install it marketplace.visualstudio.com/items?itemNa...

It currently supports Python, Go, and C (and dark-mode!)

#programming #vscode #python #golang
November 12, 2024 at 5:29 PM