Sara Grady
banner
saramgrady.bsky.social
Sara Grady
@saramgrady.bsky.social
Media psychologist, studying narratives & entertainment and why people spend time on them. Pop culture junkie, absolute nerd + social scientist
Possibly the best week in my wonderful Communication & Pop Culture class: analyzing how and why their favorite songs became trendy, from audio cues to normative aesthetic structures to business practices and memeification. I feel a playlist coming on...
October 30, 2025 at 6:04 PM
This year especially seems like an important one to revisit the (shamefully) timeless words of Frederick Douglass, on the 4th of July and all it stands for. A long read for a long weekend, but a perennially good one. loveman.sdsu.edu/docs/1852Fre...
July 3, 2025 at 7:24 PM
Ohio legislators passed SB1 this spring (despite massive outcry). It goes into effect today. Here’s a tiny sliver of what’s happening #highered #DEI

Specifics: compliance.osu.edu/focus-areas/...
June 26, 2025 at 1:48 PM
Friends writing a paper you're going to cite for years is a cause for celebration!

@elisabaek.bsky.social @rzhprfshr.bsky.social & @joebayer.bsky.social map how social connection is defined & measured, point to their false equivalencies + consider how media/constant connectivity changes things ♥️
June 20, 2025 at 4:08 PM
Bye #ica25, such a fruitful few days!So proud of all the awesome #ohistate grads/alumni doing amazing work, like @juleswilson21.bsky.social @rzhprfshr.bsky.social @qinli0.bsky.social @mqrmobile.bsky.social — & so glad CO provided the necessary brain breaks!
June 16, 2025 at 6:22 PM
The Denver event is happening a short walk from the hotels this afternoon #ica25
June 14, 2025 at 3:32 PM
These kinds of sessions why I go to #ica25. Meaghan Sanders, @olivermb.bsky.social @artraney.bsky.social @bowmanspartan.bsky.social all thinking around and about advancing theory around emotional entertainment experiences in a variety of interconnected ways. My brain is swimming, in a good way
June 13, 2025 at 11:07 PM
Absolutely recommend the rooftop bar at Populus for #ica25 drinks, lovely view over the capitol
June 13, 2025 at 1:34 AM
2 media coping/well-being projects: Rockstar PhD student @juleswilson21.bsky.social will present her work on media use during grief (Mass Comm, Mon 9) & bestie @elisabaek.bsky.social will share preliminary findings on story processing differences in lonely people’s brains (CSaB, Sat 9) #ica25
June 12, 2025 at 6:21 PM
There will be a solidarity fair in the park not far from the hotels, 12-4
June 9, 2025 at 9:13 PM
Finding there 1) pathologies lead to gaming disorders not the other way around and 2) only 7% of young people are actually having detrimental effects related to gaming. (So yes, it’s a concern, but not where a lot of the popular witch hunts are looking or at a massive scale)
May 17, 2025 at 6:26 PM
@kyliewoodman.bsky.social is always phenomenal & ambitious — 3 studies w/ 10k young people (ABCD study) looking for meaningful threshold criteria for problematic gaming categories in 8minutes #CommHorizons2025 @medianeuro.bsky.social
May 17, 2025 at 6:23 PM
@gongxuanjun.bsky.social giving a wonderful talk on narrative impact & success (w @richardhuskey.bsky.social & @aeden.bsky.social) by using narrative structural models of networked characters & events to model popularity of a novel at #CommHorizons2025
May 17, 2025 at 6:01 PM
Great talk from Anja Stevic (Standford Social Media Lab) on teen interventions: mapping how media use effects them & think through their own use w/ Digital Intervention Loop task. Comm Horizons @ucdavis.bsky.social starting off strong!
May 17, 2025 at 5:25 PM
Comparing GPT reposnses to humans shows it’s only a good representation WEIRD American-Europeans (men) not everyone in both text and relational patterns
mohammadatari.bsky.social
April 25, 2025 at 4:57 PM
Really interesting to consider how taking (& reporting!) all the forking paths in analytical decisions gives a more robust picture of effects, as a “multiverse analysis” approach (h/t Dani Cosme) details here: dcosme.shinyapps.io/explore-sca/ #SANS2025 #commscience
April 25, 2025 at 3:44 PM
#SANS2025 content has been fab, but 10/10 on location too
April 24, 2025 at 8:51 PM
#SANS2025 is hosting debates btw powerhouse scholars on major field questions. A fun model. 1st: @drdamienfair.bsky.social & @thaliawheatley.bsky.social on consortia studies vs small lab work. Some great insights on the utility of (well powered!) nimble, small studies as part of strong science.
April 24, 2025 at 4:50 PM
Some helpful context for today on what is (and isn’t) actually popular
April 23, 2025 at 9:58 PM
Hundreds of #OSU doctors aren’t pulling any punches in letter to the Uni President on silencing and closure of DEI related work and convos @osuwexmed.bsky.social www.dispatch.com/story/opinio...
April 23, 2025 at 1:02 PM
@timothysnyder.bsky.social’s reasoned, informed approach to the dangers of the current moment a must-read snyder.substack.com/p/state-terror
April 16, 2025 at 8:16 PM
Some compelling words from colleagues at UCDavis greencarelab.ucdavis.edu/how-universi...
February 26, 2025 at 5:03 PM
A government by,of, and for the people might need to listen to what people actually think
February 13, 2025 at 2:10 PM
Clarity in what’s at stake is key
February 5, 2025 at 10:40 PM
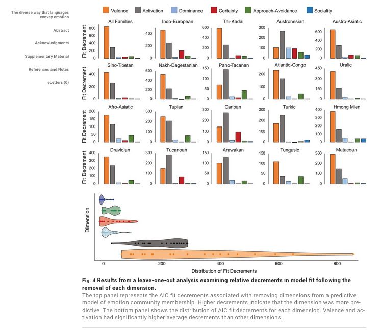
Welcome to 2025! I like coming back to work when things are quiet & I can read interesting papers before the chaos of term kicks off.

Today, emotional semantics across language groups: valence & arousal are critical almost across the board www.science.org/doi/10.1126/...
January 2, 2025 at 3:27 PM