Kai Ruggeri
banner
ruggeri.bsky.social
Kai Ruggeri
@ruggeri.bsky.social
Professor @Columbia studying financial decision-making & other behaviors | Officer @USAirForce & @AirNationalGuard | Ozark born and raised
Results from study of mental health in 92 countries (n>53,000): People are not doing well.

- U-shape for age is gone: Young adults lowest health, highest illness
- Education still matters (a lot)
- 45% of older people live alone
- Hybrid work > 100% remote or in-person

Preprint: osf.io/3jyda_v1
November 12, 2025 at 12:47 PM
Nature vs Nurture...vs Options? We find that when the world around us changes rapidly like it did in 2020, our choice preferences, immediate environment, & critically, *the options available* are what truly shape behaviors.

@senpei.bsky.social @sarahaj95.bsky.social
www.medrxiv.org/content/10.1...
September 13, 2025 at 3:29 PM
The global distribution of 53,540 participants that completed our 94-country study on mental, financial, and social well-being.
August 12, 2025 at 6:44 PM
If you were looking for something that wasn't polarized...
June 12, 2025 at 12:17 AM
PEOPLE WANT CHOICE OVER WHAT THEY SEE ONLINE: *Strong* preferences in our 26-country study for individual ownership of social media feeds, online shopping suggestions, news. People globally prefer individual ownership far more than government or commercial policy oversight.

osf.io/preprints/os...
December 20, 2024 at 12:32 PM
PREPRINT: Across 26 countries, we find strong preferences for individual ownership of social media feeds, commercial shopping site setup, and other online platforms. Across countries, people prefer individual ownership far more than government or commercial policy oversight.

osf.io/preprints/os...
December 17, 2024 at 12:47 PM
I have doubts about the veracity of this
December 13, 2024 at 10:04 PM
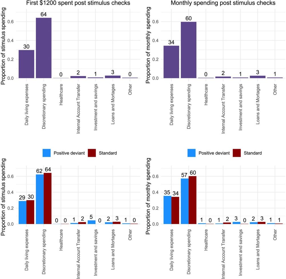
Finally open(ish) access: In a multi-arm study, we find that individuals known as "positive deviants" are significantly better at managing financial decisions (high saving & investing; limited debt & waste). Some unique behaviors, like preference for lump sums, may indicate why.

shorturl.at/Rwzdc
November 26, 2024 at 4:12 PM
Presented research at NYU Psych yesterday and want to credit them for restoring academic engagement. Packed room of 50+, more questions than time, challenging/collegial discussions. No blank zoom screens. Huge faculty + student turnout. We should follow the lead from @jayvanbavel.bsky.social et al.
October 16, 2024 at 1:35 PM
Behavioral science policy recommendations early in the pandemic were *largely correct*. Our global collaboration of 80+ experts covers 747 studies (average sample size over 16,000!) & supports 16 of 19 claims. Many lessons for science & policy.

Out today in Nature:
www.nature.com/articles/s41...
December 13, 2023 at 4:13 PM
Here’s my mom’s text when I told her the news
December 5, 2023 at 8:04 PM
If you have found value in the large-scale studies we carried out through global collaborations in recent years, we will soon share something on a whole new level.

A true testament of dedication to scientific rigor from everyone involved - authors, editor, peer reviewers - for the good of society.
December 5, 2023 at 7:29 PM
They have to be joking with this one
November 26, 2023 at 2:50 PM
In the excellent new textbook edited by Cass Sunstein and Lucia Reisch, we have a chapter on definitions of economic wealth and inequality in the context of behavioral science. We also include a framework for conceptualizing behavioral interventions aimed at improving outcomes.
November 22, 2023 at 10:13 PM
RAND is hiring social and behavioral scientists to fill some really exciting positions (LA, DC, PGH, Boston), and offering exceptional salary+benefits. Would highly recommend this - RAND was an extremely valuable experience early in my career.

rand.wd5.myworkdayjobs.com/en-US/Extern...
November 5, 2023 at 2:35 PM
When you get more likes for negativity, the incentive is to tell everyone everything is awful always. It also means we have no idea what works when things do go wrong, because the effective stuff never gets seen. Great piece by @claudiasahm.bsky.social
October 30, 2023 at 12:55 PM
As a senior in high school, a guidance counselor told me not to attend the admissions event when Columbia University visited our school. He said they were out of my league.

Today:
October 20, 2023 at 12:22 PM
One big problem of frauds in behavioral economics is that fundamental, validated, and highly-relevant concepts are entirely overshadowed by gimmicks and half-baked interventions.

Who foresaw remote work versus office work tradeoffs? Kahneman & Tversky in *1991*:

academic.oup.com/qje/article-...
October 10, 2023 at 4:45 PM
Feels like this will be relevant to bookmark
October 4, 2023 at 1:34 PM
5/5 The primary recommendation: Investing in those that are worst-off can have no harm on others, meaning everyone benefits. But to do it correctly, you need to learn from the people that have overcome it, their strategies, their barriers. Not just throw money at the problem and how it works out.
September 26, 2023 at 2:25 AM
4/5 Our wonderful team of over 30 researchers representing many countries went through a huge number of policies and data to compile this in response to the Chater & Loewenstein paper on individual vs system frames of behavioral policy.

www.cambridge.org/core/journal...
September 26, 2023 at 2:24 AM
3/5 But when we look at US data for stimulus check spending, we find some really exceptional financial decisions among these disadvantaged groups - saving & investing despite low-incomes during a massive economic shock! So what policies can support more decisions like that?
September 26, 2023 at 2:23 AM
2/5 On the left, we can see the pandemic was far worse for low-income homes all around the world. Even people that used to be low-income but were wealthier as adults even did a bit worse than those that had always been high-income.
But (right) countries with greater gender equality also did better!
September 26, 2023 at 2:22 AM