Learn more here: https://sites.duke.edu/rheummadness/
Read more about the panel's choices on our website, plus our list of thank you-s to all our collaborators who make this possible!
sites.duke.edu/rheummadness/
Thank you all for another great year!
Read more about the panel's choices on our website, plus our list of thank you-s to all our collaborators who make this possible!
sites.duke.edu/rheummadness/
Thank you all for another great year!
Read how the Blue Ribbon Panel voted here:
sites.duke.edu/rheummadness/
How's your bracket?
Read how the Blue Ribbon Panel voted here:
sites.duke.edu/rheummadness/
How's your bracket?
Read more about how our Blue Ribbon Panel voted here:
sites.duke.edu/rheummadness/
Read more about how our Blue Ribbon Panel voted here:
sites.duke.edu/rheummadness/
We had 3 blowouts and one MASSIVE upset.
Read a full report of the Blue Ribbon Panel's votes and justifications here:
sites.duke.edu/rheummadness/
Round 2 results coming April 3
We had 3 blowouts and one MASSIVE upset.
Read a full report of the Blue Ribbon Panel's votes and justifications here:
sites.duke.edu/rheummadness/
Round 2 results coming April 3
Submit your #RheumMadness bracket before 11:59pm ET!!!
Submit here:
www.tourneytopia.com/RheumMadness...
Submit your #RheumMadness bracket before 11:59pm ET!!!
Submit here:
www.tourneytopia.com/RheumMadness...
Think you don't have enough time to submit your bracket?
Think again. Submit with two simple steps:
1. Watch the 2-minute explainer video below
2. Head over to the tournament website and submit a bracket (IT'S FREE)
26.5 hours left!
tourneytopia.com/RheumMadness...
Think you don't have enough time to submit your bracket?
Think again. Submit with two simple steps:
1. Watch the 2-minute explainer video below
2. Head over to the tournament website and submit a bracket (IT'S FREE)
26.5 hours left!
tourneytopia.com/RheumMadness...
Next up: the long-term extension of the TULIP trials, showing long-term safety and efficacy of anifrolumab in #lupus
Scouting report by the MUSC fellows
More in 🧵👇
1/
Next up: the long-term extension of the TULIP trials, showing long-term safety and efficacy of anifrolumab in #lupus
Scouting report by the MUSC fellows
More in 🧵👇
1/
Next up, oral biologics! Specifically oral anti-IL23.
@larneson.bsky.social @davidleverenz.bsky.social
1/
Next up, oral biologics! Specifically oral anti-IL23.
@larneson.bsky.social @davidleverenz.bsky.social
1/
Introducing BiTE therapy, by Marwin Groener and @maxkonigmd.bsky.social at Hopkins rheum.
1/
Introducing BiTE therapy, by Marwin Groener and @maxkonigmd.bsky.social at Hopkins rheum.
1/
Said another way: it's possible ABA in the pre-clinical phase PREVENTED FULL RA.
As the kids say: Big, if true.
5/12
Said another way: it's possible ABA in the pre-clinical phase PREVENTED FULL RA.
As the kids say: Big, if true.
5/12
Introducing Abatacept in pre-RA, aka the "tendon ticklers" from Allegheny Rheum, based on the APIPPRA trial
Learn more in 🧵👇 (1/12)
Introducing Abatacept in pre-RA, aka the "tendon ticklers" from Allegheny Rheum, based on the APIPPRA trial
Learn more in 🧵👇 (1/12)
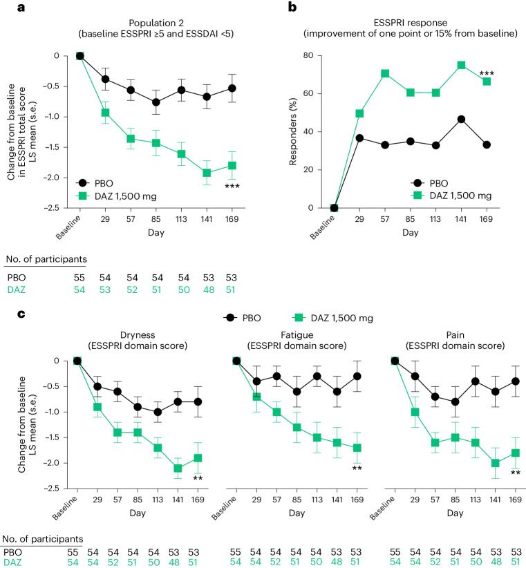
Check out this brief editorial by Dr. St. Clair (1st author of DAZ study) to learn more:
acrjournals.onlinelibrary.wiley.com/doi/abs/10.1...
11/15
Check out this brief editorial by Dr. St. Clair (1st author of DAZ study) to learn more:
acrjournals.onlinelibrary.wiley.com/doi/abs/10.1...
11/15
CTLA4 is a molecule we already have that blocks CD28-CD80/86 (B7) interactions.
CTLA means T cells Can't Take it Any Longer (Get it? rearrange the first letters?)
8/15
CTLA4 is a molecule we already have that blocks CD28-CD80/86 (B7) interactions.
CTLA means T cells Can't Take it Any Longer (Get it? rearrange the first letters?)
8/15
CD28-CD80/86 (aka B7) is about APCs ACTIVATING T CELLS
CD40L-CD40 is about T CELLS ACTIVATING OTHER CELLS (like B cells)
7/15
CD28-CD80/86 (aka B7) is about APCs ACTIVATING T CELLS
CD40L-CD40 is about T CELLS ACTIVATING OTHER CELLS (like B cells)
7/15
For example: CD40L on T cells binds CD40 on B cells, revving them up.
6/15
For example: CD40L on T cells binds CD40 on B cells, revving them up.
6/15
Cannot overstate how exciting this is!
5/15
Cannot overstate how exciting this is!
5/15
But that's been seen before. See next post for the most important finding.
4/15
But that's been seen before. See next post for the most important finding.
4/15
First up? The novel CD40L inhibitor in #Sjogren's. Scouting report by #DukeRheum.
More in 🧵👇 (1/15)
First up? The novel CD40L inhibitor in #Sjogren's. Scouting report by #DukeRheum.
More in 🧵👇 (1/15)
@profbeckyg.bsky.social @rheumarhyme.bsky.social
Bracket submissions open until April 1.
Learn more 👇
sites.duke.edu/rheummadness/
@profbeckyg.bsky.social @rheumarhyme.bsky.social
Bracket submissions open until April 1.
Learn more 👇
sites.duke.edu/rheummadness/
Apparently, a lot of you are crazy about #Rheumatology.
Apparently, a lot of you are crazy about #Rheumatology.
Thanks to the MCW, WUSTL, and Lankenau teams for joining this one!
Thanks to the MCW, WUSTL, and Lankenau teams for joining this one!
Scouting reports for the first region (T'd Up T-Cells) have been posted, along with accompanying Q&As from theMednet.org and two new podcast episodes!
Full details 👇
sites.duke.edu/rheummadness/
Scouting reports for the first region (T'd Up T-Cells) have been posted, along with accompanying Q&As from theMednet.org and two new podcast episodes!
Full details 👇
sites.duke.edu/rheummadness/