After a wonderful time at the @ipz.bsky.social, I’m very excited to have joined the Department of Government @stawi-univie.bsky.social at the University of Vienna as Assistant Professor.
If you’re in Vienna and up for a coffee, let me know!
After a wonderful time at the @ipz.bsky.social, I’m very excited to have joined the Department of Government @stawi-univie.bsky.social at the University of Vienna as Assistant Professor.
If you’re in Vienna and up for a coffee, let me know!
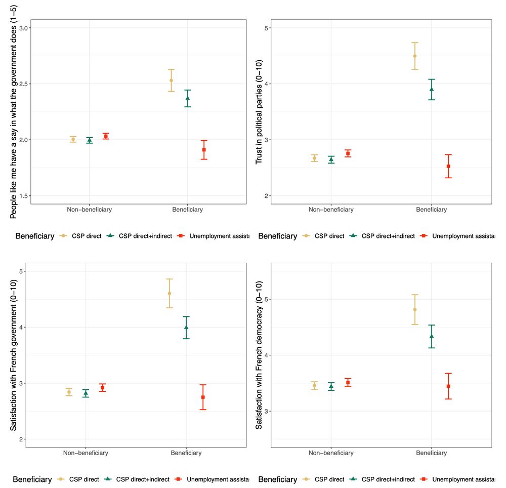
- More trusting of political parties
- More satisfied with democracy & government
- More politically efficacious
- Less likely to vote for the radical right
- More trusting of political parties
- More satisfied with democracy & government
- More politically efficacious
- Less likely to vote for the radical right
Our models show consistent, robust evidence that CSP uptake moderates radical right support in economically vulnerable areas.
Our models show consistent, robust evidence that CSP uptake moderates radical right support in economically vulnerable areas.
1. benefits compensate material hardship
2. counselling and training confer respect and recognition.
CSP provides both: money and recognition – reaching over a milion people in France since 2011.
1. benefits compensate material hardship
2. counselling and training confer respect and recognition.
CSP provides both: money and recognition – reaching over a milion people in France since 2011.
It offers generous financial compensation and intensive, personalized reemployment support.
It offers generous financial compensation and intensive, personalized reemployment support.
Yes, the effect operates through material benefits and social recognition.
🚨New WP by @retobuergisser.bsky.social, @siljahausermann.bsky.social, @thmskrr.bsky.social and @susanadptavares.bsky.social 🚨
shorturl.at/zFbZE
Yes, the effect operates through material benefits and social recognition.
🚨New WP by @retobuergisser.bsky.social, @siljahausermann.bsky.social, @thmskrr.bsky.social and @susanadptavares.bsky.social 🚨
shorturl.at/zFbZE
Political allegiance shapes attitudes via in- and out-party cues. Broad coalitions may alienate left-wing voters who see compromises as weakening environmental goals.
Thus, growing polarization on climate action is a major obstacle to achieving a greener future.
Political allegiance shapes attitudes via in- and out-party cues. Broad coalitions may alienate left-wing voters who see compromises as weakening environmental goals.
Thus, growing polarization on climate action is a major obstacle to achieving a greener future.
We highlight a critical but understudied factor: the role of parties and the cues they provide.
Without broad party consensus and consistent cues, advancing green tax proposals is unlikely. A coalition spanning left and center-right parties boosts approval.
We highlight a critical but understudied factor: the role of parties and the cues they provide.
Without broad party consensus and consistent cues, advancing green tax proposals is unlikely. A coalition spanning left and center-right parties boosts approval.
Higher net costs are offset when tax revenues are used to tackle climate change or reduce social risks. This underscores the importance of considering collective benefits and social risks, which are just as critical as ego-tropic material ones.
Higher net costs are offset when tax revenues are used to tackle climate change or reduce social risks. This underscores the importance of considering collective benefits and social risks, which are just as critical as ego-tropic material ones.
Providing information about how green taxes work did not significantly change effectiveness beliefs or policy support. However, effectiveness beliefs are closely tied to policy support and skepticism about effectiveness remains a major barrier.
Providing information about how green taxes work did not significantly change effectiveness beliefs or policy support. However, effectiveness beliefs are closely tied to policy support and skepticism about effectiveness remains a major barrier.
In a new article, @istad.bsky.social, Klaus Armingeon and I explore whether information, compensation and party cues can boost support for green taxes, using survey experiments conducted in 🇨🇭.
#OpenAccess JEPP article:
doi.org/10.1080/1350...
In a new article, @istad.bsky.social, Klaus Armingeon and I explore whether information, compensation and party cues can boost support for green taxes, using survey experiments conducted in 🇨🇭.
#OpenAccess JEPP article:
doi.org/10.1080/1350...
NORFACE GOVERNANCE Online Lecture Series
with Prof. Dr. Andreas Jungherr on:
"The Impact of Artificial Intelligence on Democracy"
Sign up here:
www.norface-governance.eu/event/norfac...
NORFACE GOVERNANCE Online Lecture Series
with Prof. Dr. Andreas Jungherr on:
"The Impact of Artificial Intelligence on Democracy"
Sign up here:
www.norface-governance.eu/event/norfac...