Robert Claus
rbtcls.bsky.social
Robert Claus
@rbtcls.bsky.social
Arbeitet zu Vielfalt und Antidiskriminierung, Fußball und Fankulturen, extreme Rechte und Kampfsport. Lieblingsanrede in Mails: Lieber Klaus, ...
Fußball- und Sportblock gegen Rechtsaußen, kommt alle hin!

Wann? Samstag, 8.6.2024, 12:30 Uhr

Wo? Am S Bahnhof Tiergarten in #Berlin.
June 7, 2024 at 5:21 AM
Es sind noch Plätze frei auf der Tagung in #Braunschweig:

Am Nachmittag des 05. Juni 2024 diskutieren wir über
#Vielfalt im #Kampfsport!

Alle Interessierten sind herzlich eingeladen!
#nonazis

Mehr Infos und Anmeldung unter:
pretix.eu/NiLSS/vollko...
May 24, 2024 at 9:44 AM
Am Nachmittag des 05. Juni 2024 diskutieren wir über #Vielfalt im #Kampfsport in #Braunschweig. Alle Interessierten sind herzlich eingeladen!

#nonazis
Mehr Infos und Anmeldung unter: pretix.eu/NiLSS/vollko...
May 17, 2024 at 8:29 AM
Weiter geht's mit #Vielfalt im #Kampfsport. Kommt vorbei, wenn wir uns dem Thema in Workshops und Diskussionsrunden in #Braunschweig am 05. Juni widmen! #nonazis

Mehr Infos und Anmeldung unter: pretix.eu/NiLSS/vollko...
May 2, 2024 at 10:15 AM
Am 13.05. findet die Abschlussveranstaltung der Diskussionsreihe "EM der Vielfalt?" statt. #Euro24

"Wie vielfältig ist der Deutsche #Fußball im Jahr 2024?" mit Thomas Hitzlsperger, Reem Alabali-Radovan, Pablo Thiam und Tuğba Tekkal.

Mehr Infos und Anmeldung unter:
www.fes.de/referat-demo...
April 26, 2024 at 6:25 PM
Gutes Event am Samstag in Dortmund besucht. Tolle Leute, guter Sport, wichtige Diskussionen! #Rassismus #Antirassismus
April 22, 2024 at 9:15 AM
Am 19.04. darf ich aus "Ihr Kampf" im Bremer Gym Grapple & Strike lesen. Freu mich sehr auf Atmosphäre und Leute!
April 13, 2024 at 6:46 AM
Am Montag (22.04.) gehts weiter mit der Reihe zur "EM der Vielfalt?":

Thema diesmal: Alles so schön bunt hier?
Queere Fankultur im Zuschauersport Männerfußball gestern, heute und morgen

Ort: Tante Käthe, Berlin

Programm und Anmeldung unter:
www.fes.de/referat-demo...
April 13, 2024 at 6:37 AM
Am Donnerstag, den 11.04. diskutieren wir Abends mit spannenden Gästen bei @turkiyemspor.bsky.social Berlin über den Stand der Arbeit gegen Rassismus und für Vielfalt im deutschen Fußball. Kommt vorbei!

www.fes.de/veranstaltun...
April 4, 2024 at 5:19 AM
Am Donnerstag, den 11.04. diskutieren wir Abends mit spannenden Gästen bei Türkiyemspor Berlin über den Stand der Arbeit gegen Rassismus und für Vielfalt im deutschen Fußball.

Programm und Anmeldung unter: www.fes.de/veranstaltun...
March 27, 2024 at 3:50 PM
Heute fand eine Kundgebung vor dem Justizministerium in Berlin statt, um ein Zeugnisverweigerungsrecht für Sozialarbeiter*innen zu fordern. Gerade im Kontext der Fanprojekte ist dies in Anbetracht der Karlsruher Geschehnisse dringend notwendig.
March 19, 2024 at 6:42 PM
Heute mit Kolleg*innen vom DFB, der dsj und Zusammen1 die Programmkonferenz von "Demokratie leben!" besucht. Demokratieförderung bleibt auch im Sport in sehr wichtiges Thema!
March 19, 2024 at 6:38 PM
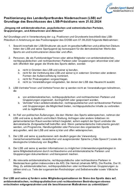
Der LandesSportbund #Niedersachsen hat eine eindeutige Beschlusslage in Bezug auf die #afd erarbeitet.
March 1, 2024 at 8:02 PM
Alle auf zum Sportblock gegen Rechtsextremismus am Samstag in #Berlin! #b0302
January 30, 2024 at 9:16 AM
Beim @kickerapp.bsky.social haben sie es leider immer noch nicht verstanden: Jennifer Hermoso wurde öffentlich sexuell belästigt.

Zu schreiben, der sog. Kuss-Skandal hätte ihre Bekanntheit befördert, ist einfach nur unverantwortlich und verharmlost sexualisierte Übergriffe.
December 15, 2023 at 6:48 PM
Am Freitag, den 08.12., diskutieren wir über die gesellschaftliche Verantwortung des Berliner Kampfsports.
Alle Interessierten sind willkommen, nur Nazis nicht.
November 29, 2023 at 7:32 AM
Es gibt mal wieder eine neue extrem rechte Kampfsportmarke - diesmal heißt sie "Kampfgeist Clothing".
Abwarten, ob sie sich etabliert und rechnet oder ob sie scheitert wie "Pride Germany".
November 18, 2023 at 8:13 AM
"Was die Spieler außerhalb des Fußballplatzes machen, geht uns nichts an“, sagt Harald Scheffler, Vorsitzender des Fußball-Kreisverbandes Chemnitz über Rapid Chemnitz.
Was Spieler des Vereins so tun, könnt ihr hier drunter sehen.
Wie gut, dass es Athletik Sonnenberg gibt.
November 13, 2023 at 8:55 AM
Am 27. November 2023 diskutieren wir im Berliner Spitfire Gym über "Vielfalt und Zusammenhalt im Kampfsport".

Programm und Anmeldung hier entlang:
www.fes.de/veranstaltun...
November 10, 2023 at 7:41 AM
Tagung zu "Vielfalt im Kampfsport" mit Diskussionen und Methoden-Reflexion für einen demokratischen Sport am 09.11.2023 in Hannover!

Anmeldung unter: widgets.yolawo.de/w/0/bookable...

Nazis kommen nicht rein.
October 17, 2023 at 6:42 AM