Prashant Garg
@prashantgarg.bsky.social
Econ PhD @imperial. Visiting researcher at IFC and Cambridge.
AI and networks in economics.
www.prashantgarg.org
AI and networks in economics.
www.prashantgarg.org
Can AI tell us anything meaningful about Bob Dylan’s songs? Delighted to share a new essay in @aeon.co breaking down an artists' evolution using AI extracted idea graphs.
aeon.co/essays/can-a...
aeon.co/essays/can-a...
November 8, 2025 at 5:18 PM
Can AI tell us anything meaningful about Bob Dylan’s songs? Delighted to share a new essay in @aeon.co breaking down an artists' evolution using AI extracted idea graphs.
aeon.co/essays/can-a...
aeon.co/essays/can-a...
7/ Our paper finds that global supply shocks on internationally traded goods have become more prevalent since 2016, particularly affecting consumer goods and processed intermediates. Here's a map of these supply shocks. Post 2024 map, when data updates, will likely be worse...
July 24, 2025 at 1:32 PM
7/ Our paper finds that global supply shocks on internationally traded goods have become more prevalent since 2016, particularly affecting consumer goods and processed intermediates. Here's a map of these supply shocks. Post 2024 map, when data updates, will likely be worse...
6/ Diverging strategies of U.S. vs. China in global trade. China: Importing more upstream products like Cement to build advanced domestic industries. US: Importing more downstream goods, relying on global supply chains.
July 24, 2025 at 1:32 PM
6/ Diverging strategies of U.S. vs. China in global trade. China: Importing more upstream products like Cement to build advanced domestic industries. US: Importing more downstream goods, relying on global supply chains.
5/ The pending 15% baseline tariff agreement between the US and EU may impact 12 million tonnes of transatlantic clinker, reshaping supply chains, alongside ongoing 50% US steel duties
July 24, 2025 at 1:32 PM
5/ The pending 15% baseline tariff agreement between the US and EU may impact 12 million tonnes of transatlantic clinker, reshaping supply chains, alongside ongoing 50% US steel duties
3/ In our paper, AI-Generated Production Networks (2024), joint with @trfetzer.com , @econopete.bsky.social and Bennet Feld, we used AI to build AIPNET, a detailed map of global production networks. It shows how critical inputs like Cement and Steel underpin industries worldwide
July 24, 2025 at 1:32 PM
3/ In our paper, AI-Generated Production Networks (2024), joint with @trfetzer.com , @econopete.bsky.social and Bennet Feld, we used AI to build AIPNET, a detailed map of global production networks. It shows how critical inputs like Cement and Steel underpin industries worldwide
🚨 Tariffs on inputs = tax on downstream products.🚨
Here’s cement’s granular production network. A 50% duty on key inputs propagates costs through roads, buildings, data-centres, and renewable infrastructure.
Public data, method & our paper in thread 🧵 0/8
Here’s cement’s granular production network. A 50% duty on key inputs propagates costs through roads, buildings, data-centres, and renewable infrastructure.
Public data, method & our paper in thread 🧵 0/8
July 24, 2025 at 1:32 PM
🚨 Tariffs on inputs = tax on downstream products.🚨
Here’s cement’s granular production network. A 50% duty on key inputs propagates costs through roads, buildings, data-centres, and renewable infrastructure.
Public data, method & our paper in thread 🧵 0/8
Here’s cement’s granular production network. A 50% duty on key inputs propagates costs through roads, buildings, data-centres, and renewable infrastructure.
Public data, method & our paper in thread 🧵 0/8
If you read the full paper, especially the content before this excerpt, you will find the citation to best practices.
June 8, 2025 at 12:27 PM
If you read the full paper, especially the content before this excerpt, you will find the citation to best practices.
9/ Tremendous thanks to my co-author @trfetzer.com. We have written a backstory to this paper, both of us talking informally (blog) about how we got to this paper: communities.springernature.com/posts/politi...
June 3, 2025 at 10:21 AM
9/ Tremendous thanks to my co-author @trfetzer.com. We have written a backstory to this paper, both of us talking informally (blog) about how we got to this paper: communities.springernature.com/posts/politi...
6/ Academics based in US, top-ranked institutions or ones in Humanities departments exhibit higher egocentrism and toxicity in their tweets.
June 3, 2025 at 10:21 AM
6/ Academics based in US, top-ranked institutions or ones in Humanities departments exhibit higher egocentrism and toxicity in their tweets.
5/ Finding 3: Do Academics Differ?
- STEM ones are more pro-climate than others, and prefer techno-optimistic solutions (e.g. EVs, Nuclear).
- No Gender difference on climate support, but men are more techno-optimist.
- US academics and non-expert in topic are less supportive of climate action.
- STEM ones are more pro-climate than others, and prefer techno-optimistic solutions (e.g. EVs, Nuclear).
- No Gender difference on climate support, but men are more techno-optimist.
- US academics and non-expert in topic are less supportive of climate action.
June 3, 2025 at 10:21 AM
5/ Finding 3: Do Academics Differ?
- STEM ones are more pro-climate than others, and prefer techno-optimistic solutions (e.g. EVs, Nuclear).
- No Gender difference on climate support, but men are more techno-optimist.
- US academics and non-expert in topic are less supportive of climate action.
- STEM ones are more pro-climate than others, and prefer techno-optimistic solutions (e.g. EVs, Nuclear).
- No Gender difference on climate support, but men are more techno-optimist.
- US academics and non-expert in topic are less supportive of climate action.
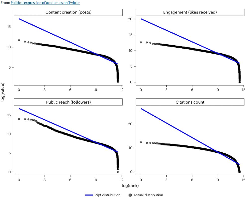
4/ Finding 2: Influence Inequality
A small fraction of academics create the majority of content. Top 5% of accounts receive 30% of likes and 40% of followers, while the bottom 50% receive only 10% in both.
--> Academic recognition doesn’t directly map into Twitter engagement.
A small fraction of academics create the majority of content. Top 5% of accounts receive 30% of likes and 40% of followers, while the bottom 50% receive only 10% in both.
--> Academic recognition doesn’t directly map into Twitter engagement.
June 3, 2025 at 10:21 AM
4/ Finding 2: Influence Inequality
A small fraction of academics create the majority of content. Top 5% of accounts receive 30% of likes and 40% of followers, while the bottom 50% receive only 10% in both.
--> Academic recognition doesn’t directly map into Twitter engagement.
A small fraction of academics create the majority of content. Top 5% of accounts receive 30% of likes and 40% of followers, while the bottom 50% receive only 10% in both.
--> Academic recognition doesn’t directly map into Twitter engagement.
3/ Finding 1: Academics are much more liberal & less toxic on Twitter than the general population.
June 3, 2025 at 10:21 AM
3/ Finding 1: Academics are much more liberal & less toxic on Twitter than the general population.
1/ 🚨 Hot off the press! Our study “Political Expression of Academics on Social Media” with @trfetzer.com is now peer-reviewed & live in Nature Human Behaviour @nature.com 🎉. Thread 👇
June 3, 2025 at 10:21 AM
1/ 🚨 Hot off the press! Our study “Political Expression of Academics on Social Media” with @trfetzer.com is now peer-reviewed & live in Nature Human Behaviour @nature.com 🎉. Thread 👇
6/ Network reconstruction strongly predicts Bluesky activity: the very info-source ties that tipped scholars off Twitter keep them glued to the new platform.
10% more overlapped Twitter ties = 1 extra month active on Bluesky.
10% more overlapped Twitter ties = 1 extra month active on Bluesky.
June 2, 2025 at 1:13 PM
6/ Network reconstruction strongly predicts Bluesky activity: the very info-source ties that tipped scholars off Twitter keep them glued to the new platform.
10% more overlapped Twitter ties = 1 extra month active on Bluesky.
10% more overlapped Twitter ties = 1 extra month active on Bluesky.
5/ What kind of contagion?
Simple – (one friend leaves ⇒ you leave) dominates (66%)
Shocks – Drive 16% of departures
Complex contagion is rare
Pol. active users need only simple contagion to jump, but pol. inactive users require shocks or complex to push them over the edge.
Simple – (one friend leaves ⇒ you leave) dominates (66%)
Shocks – Drive 16% of departures
Complex contagion is rare
Pol. active users need only simple contagion to jump, but pol. inactive users require shocks or complex to push them over the edge.
June 2, 2025 at 1:13 PM
5/ What kind of contagion?
Simple – (one friend leaves ⇒ you leave) dominates (66%)
Shocks – Drive 16% of departures
Complex contagion is rare
Pol. active users need only simple contagion to jump, but pol. inactive users require shocks or complex to push them over the edge.
Simple – (one friend leaves ⇒ you leave) dominates (66%)
Shocks – Drive 16% of departures
Complex contagion is rare
Pol. active users need only simple contagion to jump, but pol. inactive users require shocks or complex to push them over the edge.
4/ Migrations cluster in the network: the median scholar has >20% of followees gone before they jump. Exits propagate along first-degree ties, second-deg connections, and network lag behind.
We confirm that we're not measuring induced homophily by matching users by similarity.
We confirm that we're not measuring induced homophily by matching users by similarity.
June 2, 2025 at 1:13 PM
4/ Migrations cluster in the network: the median scholar has >20% of followees gone before they jump. Exits propagate along first-degree ties, second-deg connections, and network lag behind.
We confirm that we're not measuring induced homophily by matching users by similarity.
We confirm that we're not measuring induced homophily by matching users by similarity.
3/ Scholars tweeting about pol. topics (e.g., climate) are likelier to leave.
Time-varying Cox models show that when people you follow migrate, your own hazard of leaving spikes; your followers matter less.
→ Migration is pulled by info sources, not pushed by audiences
Time-varying Cox models show that when people you follow migrate, your own hazard of leaving spikes; your followers matter less.
→ Migration is pulled by info sources, not pushed by audiences
June 2, 2025 at 1:13 PM
3/ Scholars tweeting about pol. topics (e.g., climate) are likelier to leave.
Time-varying Cox models show that when people you follow migrate, your own hazard of leaving spikes; your followers matter less.
→ Migration is pulled by info sources, not pushed by audiences
Time-varying Cox models show that when people you follow migrate, your own hazard of leaving spikes; your followers matter less.
→ Migration is pulled by info sources, not pushed by audiences
2/ Discipline matters.
Social Sci (27%) and Arts & Human. (31%) lead the exodus; Med & Health lag (13%).
Twitter signals (followers, PageRank, posting) predict migration better than h-index or citations.
Take-away: Your Twitter presence, not your CV, determines if you jump ship.
Social Sci (27%) and Arts & Human. (31%) lead the exodus; Med & Health lag (13%).
Twitter signals (followers, PageRank, posting) predict migration better than h-index or citations.
Take-away: Your Twitter presence, not your CV, determines if you jump ship.
June 2, 2025 at 1:13 PM
2/ Discipline matters.
Social Sci (27%) and Arts & Human. (31%) lead the exodus; Med & Health lag (13%).
Twitter signals (followers, PageRank, posting) predict migration better than h-index or citations.
Take-away: Your Twitter presence, not your CV, determines if you jump ship.
Social Sci (27%) and Arts & Human. (31%) lead the exodus; Med & Health lag (13%).
Twitter signals (followers, PageRank, posting) predict migration better than h-index or citations.
Take-away: Your Twitter presence, not your CV, determines if you jump ship.
Happy to share this paper. Full thread coming soon!
June 2, 2025 at 11:45 AM
Happy to share this paper. Full thread coming soon!
Our work on Causal Claims in Economics, covered by @economist.com, on article titled "What the failure of a superstar student reveals about economic?"
May 22, 2025 at 2:30 PM
Our work on Causal Claims in Economics, covered by @economist.com, on article titled "What the failure of a superstar student reveals about economic?"
Across 300,000 papers published in top 100 economics journals, more than 90% of claims use language that is causal while less than 10% are actually using causal inference methods.
May 20, 2025 at 11:27 AM
Across 300,000 papers published in top 100 economics journals, more than 90% of claims use language that is causal while less than 10% are actually using causal inference methods.
Increasing use of private data in economics.
(= increasing inability to review data integrity?)
(= increasing inability to review data integrity?)
May 17, 2025 at 2:54 PM
Increasing use of private data in economics.
(= increasing inability to review data integrity?)
(= increasing inability to review data integrity?)
I’ve open‑sourced all content from my talk Retrieving & Generating Data with LLMs in Python on my Github, along with slides. 🔓
10 Jupyter notebooks that show how to turn messy text into clean, structured data, all with GPT‑4o‑mini & the OpenAI API. Details on applications below🧵
10 Jupyter notebooks that show how to turn messy text into clean, structured data, all with GPT‑4o‑mini & the OpenAI API. Details on applications below🧵
May 9, 2025 at 12:00 PM
I’ve open‑sourced all content from my talk Retrieving & Generating Data with LLMs in Python on my Github, along with slides. 🔓
10 Jupyter notebooks that show how to turn messy text into clean, structured data, all with GPT‑4o‑mini & the OpenAI API. Details on applications below🧵
10 Jupyter notebooks that show how to turn messy text into clean, structured data, all with GPT‑4o‑mini & the OpenAI API. Details on applications below🧵
Last week we saw the populist party win by a landslide. Why?
Do national statistics say what those voters saw in their local environment?
Do national statistics say what those voters saw in their local environment?
May 6, 2025 at 11:42 AM
Last week we saw the populist party win by a landslide. Why?
Do national statistics say what those voters saw in their local environment?
Do national statistics say what those voters saw in their local environment?