Piotr Miłoś
piotrmilos.bsky.social
Piotr Miłoś
@piotrmilos.bsky.social
AI/ML researcher. Prof@Polish Academy of Sciences and Team Leader@Ideas NCBR. ex-visiting prof@U. Oxford. Member of Ellis Society.

www.mimuw.edu.pl/~pmilos
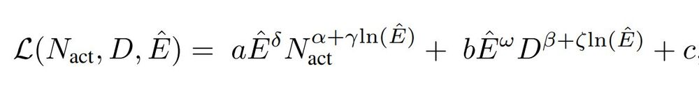
Read details in an excellent thread by Jan Ludziejewski x.com/jahulas/stat...
February 12, 2025 at 9:35 AM
🤯 This is still very counterintuitive to me—MoE models are more memory-efficient 💾 than dense models!

We verify this empirically, and along the way, we develop joint scaling laws for both MoE and dense models.
February 12, 2025 at 9:35 AM
Są na świecie politycy, którzy wspierają innowacje ...

(do rozwagi dla naszych w PL)
February 7, 2025 at 4:17 PM
Deadline, sweet deadline
January 31, 2025 at 11:59 AM
December 19, 2024 at 4:55 PM
I am totally in the FOMO mode, seeing #NeurIPS24 messages. I’m not there :( this year.

However, I recommend chatting with my co-authors and students :) @bartoszpiotrowski.bsky.social @albertqjiang.bsky.social @michalnauman @mateuszostaszewski.bsky.social

2 papers on the main track and spotlight
December 12, 2024 at 2:37 PM
<NeurIPS spotlight> Scaling has done wonders for deep learning, but for a long time it failed in on-policy RL... until now! We show that when done appropriately, scaling leads to state-of-the-art results in a variety of continuous control tasks🔥

BRO: Bigger, Regularized, Optimistic! 🧵
November 28, 2024 at 9:57 AM
My first post here :)

Excellent news from NeurIPS. Two papers in, including a spotlight.

1. Repurposing Language Models into Embedding Models: Finding the Compute-Optimal Recipe
2. Bigger, Regularized, Optimistic: scaling for compute and sample-efficient continuous control
November 26, 2024 at 12:27 PM