Osteoarthritis Action Alliance
oaactionalliance.bsky.social
Osteoarthritis Action Alliance
@oaactionalliance.bsky.social
We envision a nation where osteoarthritis (OA) is prevented and managed to improve the quality of life for all Americans.

linktr.ee/oaactionalliance
New #osteoarthritis infographics added to our OACareTools Prevalence and Burden webpage!

Download these graphics at oaaction.unc.edu/oa-module/oa...
July 31, 2025 at 1:37 PM
New #osteoarthritis infographics added to our OACareTools Prevalence and Burden webpage!

Download these graphics at oaaction.unc.edu/oa-module/oa...
July 30, 2025 at 10:34 AM
The @oaactionalliance.bsky.social recently added sam®/ZetrOZ Systems to our ever-growing list of Member Organizations. If your org has a passion for Advancing #Osteoarthritis Awareness, Resources and Education, please click the link below to learn more about joining the alliance! unc.live/3Le4S1k
July 29, 2025 at 12:13 PM
Research Roundup for 7/28: The latest in #osteoarthritis research - mailchi.mp/unc/research...
July 28, 2025 at 4:50 PM
July is Chronic Disease Awareness Month, a time to recognize the impact of long-term health conditions such as heart disease, cancer, diabetes, and OA. Learn how the @oaactionalliance.bsky.social aims to address the individual and national toll of these chronic diseases at mailchi.mp/unc/standup2...
July 25, 2025 at 11:43 AM
More than 32.5 million U.S. Adults have #osteoarthritis but it is not the inevitable result of aging. Click this link to access public health strategies that can help to prevent and manage OA. unc.live/3reeeym
July 23, 2025 at 1:47 PM
Research Roundup for 7/21: The latest in #osteoarthritis research - mailchi.mp/unc/research...
July 21, 2025 at 4:05 PM
Do you have an aging and sedentary workforce? Your employees may be at risk for developing #osteoarthritis (OA), a common and painful condition. Find out how you can help employees manage OA at work at unc.live/3o2hcXB
July 18, 2025 at 11:03 AM
"There’s almost nothing exercise doesn’t help. That goes double when you have osteoarthritis (OA)."

Learn more about OA and movement from the Arthritis Foundation at www.arthritis.org/health-welln...
July 16, 2025 at 1:01 PM
Join us for our upcoming Lunch & Learn Webinar TOMORROW at 12PM ET. Register Today! bit.ly/4e9H90d

#osteoarthritis #StandUp2OA
July 15, 2025 at 12:17 PM
Research Roundup for 7/14: The latest in osteoarthritis research - mailchi.mp/unc/research...
July 14, 2025 at 4:38 PM
The @oaactionalliance.bsky.social has a longstanding partnership with the @nrpa-news.bsky.social, and we hope you will join us in celebrating the 40th anniversary of Park and Recreation Month! Learn more at mailchi.mp/unc/standup2...

#BuildTogetherPlayTogether #osteoarthritis
July 11, 2025 at 10:56 AM
Congratulations to Serena Weisner, @oaactionalliance.bsky.social Director of Community Programming, for being elected as an At-Large Member for the National Association of Chronic Disease Directors' Arthritis Council Steering Committee 2025-26! actiononarthritis.chronicdisease.org/council/
July 10, 2025 at 1:13 PM
Join us for our upcoming Lunch & Learn Webinar on Wednesday, July 16th at 12PM ET. Register Today! bit.ly/4e9H90d

#osteoarthritis #StandUp2OA
July 9, 2025 at 10:59 AM
Together we can #StandUp2OA and address the growing burden of #osteoarthritis. Click this link to sign up to receive our newsletters, filled with many great tips and peer-reviewed research studies to help you prevent OA and help spread the message of prevention! bit.ly/46zkxlw
July 8, 2025 at 10:28 AM
The Arthritis Foundation #Osteoarthritis Connect Group offers a place of understanding and encouragement for both people living with #arthritis and their loved ones. Visit connectgroups.arthritis.org/groups/osteo... to learn more!
July 5, 2025 at 11:56 AM
Please join @obesityaction.bsky.social in-person July 24-26 in Washington, DC, to experience Your Weight Matters 2025 National Convention like never before as the OAC’s added many new and exciting program elements!

Tickets are selling fast, so register now to secure your spot! www.ywmconvention.com
July 4, 2025 at 3:01 PM
Join us for our upcoming Lunch & Learn Webinar on Wednesday, July 16th at 12PM ET. Register Today! bit.ly/4e9H90d

#osteoarthritis #StandUp2OA
July 2, 2025 at 1:08 PM
Congratulations to our friends at the National AgrAbility Project for being named to Forbes' Accessibility 100!

www.forbes.com/lists/access...
July 2, 2025 at 1:05 PM
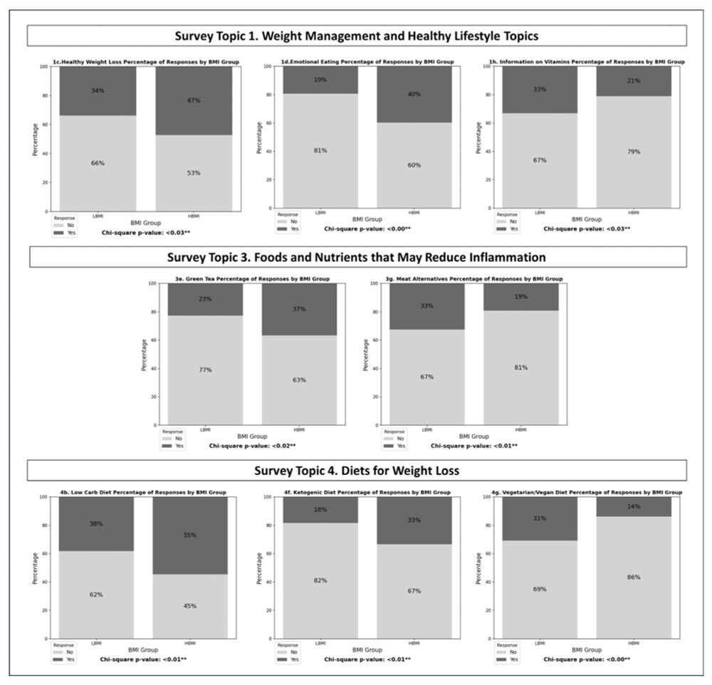
Featured Research: BMI-Specific Nutritional Education Priorities for Weight Management in Osteoarthritis www.mdpi.com/2072-6643/17...
June 30, 2025 at 11:11 PM
Research Roundup for 6/30: The latest in #osteoarthritis research - mailchi.mp/unc/research...
June 30, 2025 at 11:10 PM
Together we can StandUp2OA and address the growing burden of osteoarthritis. Click this link to sign up to receive our newsletters, filled with many great tips and peer-reviewed research studies to help you prevent OA and help spread the message of prevention! bit.ly/46zkxlw
June 29, 2025 at 11:42 AM
Beat the heat this summer! 🌞 Stay hydrated when being physically active outside. Learn more about the benefits of drinking water: bit.ly/3LmhcwZ
June 28, 2025 at 11:21 AM
June is National Safety Month, a time to raise awareness about preventing injuries, especially among those living with #osteoarthritis. Learn important safety tips in our latest edition of the StandUp2OA Biweekly Digest! mailchi.mp/unc/standup2...
June 27, 2025 at 11:41 AM
Check out the latest research study completed by the @oaactionalliance.bsky.social Weight Management Task Group!

"BMI-Specific Nutritional Education Priorities for Weight Management in Osteoarthritis"

www.mdpi.com/2072-6643/17... (open access)
June 24, 2025 at 10:21 AM