のらんぶるー
nolimbre.bsky.social
のらんぶるー
@nolimbre.bsky.social
体調が回復してきた気がする!
December 1, 2025 at 1:39 PM
発熱はないけど喉を中心に体調はまだ悪く、カロナールを服用中。一方、今日から新しいスニーカーを履いているので足だけうきうきしている。
December 1, 2025 at 4:33 AM
走りに行きたかったけど風邪気味なので体力温存。
November 30, 2025 at 7:53 AM
いわゆる「すぐ消す」というやつ
sizu.me/nolimbre/pos...
November 28, 2025 at 11:35 AM
からあげ作った。レシピの解釈を誤って、揚げ焼きの時間を倍にしてしまった。それでも美味しいけど次回に期待。
November 27, 2025 at 1:01 PM
ロキソプロフェンの貼り薬のおかげで1日を平穏に過ごせた。ところで貼り薬が効くのってかなり面白い。
November 26, 2025 at 1:23 PM
熊にも会わず、自己ベストで完走!
November 23, 2025 at 7:47 AM
明日は福知山でフルマラソン。時間内に完走できるように、そして熊に出会わないように頑張ります(?)
November 22, 2025 at 2:04 PM
石城譲吉『イワナの謎を追う』は内容もとてもエキサイティングで面白かったのだけど、著者の書き振りがまた自然への敬意に溢れつつ力強く牽引力があった。
「イワナとヤマメ。山間の渓流に姸を競って僚々あい譲らぬこの両者は、日本の渓流魚の双璧をなすものといっていい。」
序盤からこれである。
姸(けん)を競う、は美しさを競うこと。
僚々、は辞書に載っていないが「両々あい譲らぬ」の著者流の表記かなと思う。「僚」の字には美しいという意味もある。
November 22, 2025 at 5:04 AM
ホラーが苦手だ|nolimbre
1,190字
sizu.me
November 21, 2025 at 11:02 AM
フルマラソン前の最後のラン。
November 20, 2025 at 1:27 PM
親子丼をもっとうまく作れるようになりたい。今でも僕にしてはじゅうぶん上出来な美味しさではあるが……。
November 19, 2025 at 3:11 PM
日曜までは禁酒。
November 18, 2025 at 11:53 AM
『指輪物語』を読んだことないのがずっと気になっていたので最新の邦訳の最初の巻を買った。いつ読むかは不明……。
November 18, 2025 at 11:52 AM
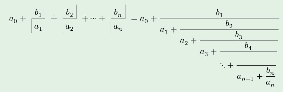
Typst で書く連分数
November 18, 2025 at 10:11 AM
ePop,僕がランクアップするたびにお祝いの「いいね」をくれる人がいる。
November 17, 2025 at 2:25 AM
git push し忘れていた講義ノートリポジトリを git push するためだけに職場へ…….
November 15, 2025 at 6:52 AM
Garmin 先生のタイム予測。サブ5行けるという予測はちょっと額面通りには受け取れないが……?次のマラソンは制限時間6時間なのでそこはクリアしたい。
November 14, 2025 at 11:41 AM
今日も元気に「お〜いお茶 濃い茶」を飲んでいる。家の冷蔵庫の「お〜いお茶 濃い茶」を水筒に注いで出勤し,職場で飲み切ったら職場の冷蔵庫の「お〜いお茶 濃い茶」を水筒に注ぎ足すスタイル。
November 14, 2025 at 8:06 AM
槇原敬之のライブ音源にハマっている。I ask. とか LOTUS IN THE DIRT といった復帰直後のちょっと暗めの曲がめちゃめちゃかっこよい。
November 12, 2025 at 12:32 PM
槇原敬之「No. 1」の歌詞に「君は気づいていない しゃべり方少しずつだけど 僕に似てる もっともっと 変えてしまいたい」とあるのですが,「僕みたいなしゃべり方の人が増えてしまったら僕が複数いるみたいで嫌だから,もっとほかのしゃべり方に変えてしまいたいんだろうな」という解釈から抜け出せたのは相当大人になってからだったという話をします。しました。
November 12, 2025 at 12:21 PM
「豚バラと青梗菜の酢醤油焼きそば」をうまく作れるようになってきた。
November 10, 2025 at 3:58 AM
新しいウェアで 7 km 走ってきた。うふふ。
November 9, 2025 at 10:02 AM
講義のときなど職場内を移動するのに適したドキュメントホルダーとかミーティングバッグみたいなもので適当なやつが欲しい。既に,ノートパソコンや期末試験の解答用紙なども全部入れられるようなかなり大きなものは持っているのだけど,そこまで荷物が多くないとき用の小さめのやつがいい。ただし,僕は「お〜いお茶 濃い茶」中毒であり,紙だけでなく必ず「お〜いお茶 濃い茶」入りの水筒を持って歩くため,それも入るようなものという制約がつく。これが難しい。
November 6, 2025 at 9:36 AM
僕は「厚くてとても暖かいセーター」「厚いわりにそこまで暖かくはないセーター」「薄くてそこまで暖かくないセーター」「薄いのに謎の技術でとても暖かいセーター」を全て持っているのですが,それを忘れて「薄いのに謎の技術でとても暖かいセーター」を着てきてしまっており,とても暑い.
November 6, 2025 at 4:03 AM