Lucibee
@lucibee.bsky.social
Science defender and eco-worrier.
(she/her)
(she/her)
I've been fascinated by this stuff for a loooooong time, but she's no Oliver Sachs.
He was actually genuinely interested in finding out what was going on, and NEVER made fun of his patients in the way she seems to.
He was actually genuinely interested in finding out what was going on, and NEVER made fun of his patients in the way she seems to.
November 11, 2025 at 3:49 PM
I've been fascinated by this stuff for a loooooong time, but she's no Oliver Sachs.
He was actually genuinely interested in finding out what was going on, and NEVER made fun of his patients in the way she seems to.
He was actually genuinely interested in finding out what was going on, and NEVER made fun of his patients in the way she seems to.
Or this one: www.thelancet.com/journals/lan...
“Your disease is not real”
Psychosomatic illnesses in their mild form are often overlooked by society as attention-seeking behaviours—and the sufferer simply branded a hypochondriac. After all, with all the organic, life-threatening, and debilitating diseases that exist, empathy for something that is not considered real may be less forthcoming. For those that experience symptoms of greater concern, a diagnosis may be attributed, treatment and medication administered, but without success. After undergoing test after test the doctor tells you nothing has been found.
www.thelancet.com
November 11, 2025 at 3:43 PM
Or this one: www.thelancet.com/journals/lan...
And probably there's never a good time to read this one 🤯😳 www.thelancet.com/journals/lan...
First, do no harm
I have a vivid recollection of the first patient with a convulsive seizure that I
ever saw. She was a young woman, unconscious, her arms and legs flapping wildly. The
episode sticks in my mind for the...
www.thelancet.com
November 11, 2025 at 3:42 PM
And probably there's never a good time to read this one 🤯😳 www.thelancet.com/journals/lan...
Aha! Thanks. Yes. It's de-sugared so that it's NOT attractive to animals as edible! It's also brown, not bright red.
They also have a lovely AI-presented video explainer on their website for extra credibility. 😬
They also have a lovely AI-presented video explainer on their website for extra credibility. 😬
November 10, 2025 at 5:23 PM
Aha! Thanks. Yes. It's de-sugared so that it's NOT attractive to animals as edible! It's also brown, not bright red.
They also have a lovely AI-presented video explainer on their website for extra credibility. 😬
They also have a lovely AI-presented video explainer on their website for extra credibility. 😬
It's actually a non-fiction book that's been incorrectly classified as sci-fi. 🙄
November 10, 2025 at 5:13 PM
It's actually a non-fiction book that's been incorrectly classified as sci-fi. 🙄
Although making something that is toxic smell like food is a bad move 🤨
November 10, 2025 at 2:46 PM
Although making something that is toxic smell like food is a bad move 🤨
It's a thing. Apparently.
November 10, 2025 at 2:41 PM
It's a thing. Apparently.
Consequences are not causes.
But I'd love to know whether there has been any decent research on whether breathing exercises might help some people.
But I'd love to know whether there has been any decent research on whether breathing exercises might help some people.
November 10, 2025 at 2:32 PM
Consequences are not causes.
But I'd love to know whether there has been any decent research on whether breathing exercises might help some people.
But I'd love to know whether there has been any decent research on whether breathing exercises might help some people.
1. It looks like there's been a very nasty accident.
2. Beetroot stains are quite tricky to remove.
3. Someone's added it to Wikipedia's Road salt page, but without any references.
2. Beetroot stains are quite tricky to remove.
3. Someone's added it to Wikipedia's Road salt page, but without any references.
November 10, 2025 at 2:29 PM
1. It looks like there's been a very nasty accident.
2. Beetroot stains are quite tricky to remove.
3. Someone's added it to Wikipedia's Road salt page, but without any references.
2. Beetroot stains are quite tricky to remove.
3. Someone's added it to Wikipedia's Road salt page, but without any references.
I was unaware of its existence until a few days ago.
I've just noticed the homeopathy thing in the first few pages. Ah well. Can't have everything. 🙄
I've just noticed the homeopathy thing in the first few pages. Ah well. Can't have everything. 🙄
November 10, 2025 at 2:15 PM
I was unaware of its existence until a few days ago.
I've just noticed the homeopathy thing in the first few pages. Ah well. Can't have everything. 🙄
I've just noticed the homeopathy thing in the first few pages. Ah well. Can't have everything. 🙄
Re-linking threads so I can (maybe) find everything again...
(BSky still isn't great at threads, particularly if there are many offshoots)
bsky.app/profile/luci...
(BSky still isn't great at threads, particularly if there are many offshoots)
bsky.app/profile/luci...
More digging.
Came across this blog, which mentions that Richmond and SW did collaborate quackbengoldacre.wordpress.com/professorsim...
...and an interesting combo of names on this letter to TL in 1991: www.thelancet.com/journals/lan...
Came across this blog, which mentions that Richmond and SW did collaborate quackbengoldacre.wordpress.com/professorsim...
...and an interesting combo of names on this letter to TL in 1991: www.thelancet.com/journals/lan...
November 10, 2025 at 2:11 PM
Re-linking threads so I can (maybe) find everything again...
(BSky still isn't great at threads, particularly if there are many offshoots)
bsky.app/profile/luci...
(BSky still isn't great at threads, particularly if there are many offshoots)
bsky.app/profile/luci...
Obviously they didn't screen for PEM.
But wouldn't it be interesting if something as simple as singing and breathing exercises could help modify PEM baselines in those with ME too? 🤔
But wouldn't it be interesting if something as simple as singing and breathing exercises could help modify PEM baselines in those with ME too? 🤔
November 10, 2025 at 1:35 PM
Obviously they didn't screen for PEM.
But wouldn't it be interesting if something as simple as singing and breathing exercises could help modify PEM baselines in those with ME too? 🤔
But wouldn't it be interesting if something as simple as singing and breathing exercises could help modify PEM baselines in those with ME too? 🤔
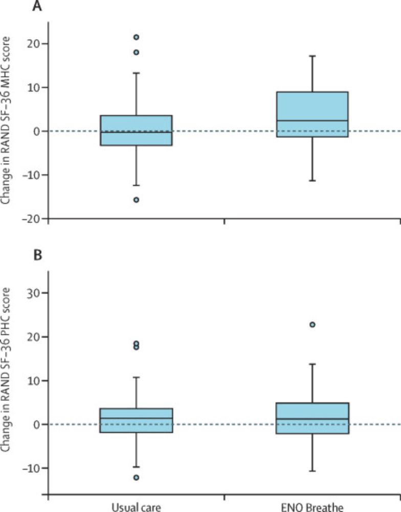
It was interesting how the Breathe programme seemed to help improve symptoms of dyspnea and breathlessness most under exercise conditions (stairs, running).
Note that the intervention exercises are singing and breathing exercises, not physical exercise per se.
www.thelancet.com/journals/lan...
Note that the intervention exercises are singing and breathing exercises, not physical exercise per se.
www.thelancet.com/journals/lan...
November 10, 2025 at 1:32 PM
It was interesting how the Breathe programme seemed to help improve symptoms of dyspnea and breathlessness most under exercise conditions (stairs, running).
Note that the intervention exercises are singing and breathing exercises, not physical exercise per se.
www.thelancet.com/journals/lan...
Note that the intervention exercises are singing and breathing exercises, not physical exercise per se.
www.thelancet.com/journals/lan...
Dyspnea has defo been a therapeutic target in Long Covid, and it seems that many have found benefit from the ENO's (English National Opera) "Breathe" programme (in collaboration with Imperial).
www.thelancet.com/journals/lan...
www.eno.org/engage/eno-b...
www.thelancet.com/journals/lan...
www.eno.org/engage/eno-b...
An online breathing and wellbeing programme (ENO Breathe) for people with persistent symptoms following COVID-19: a parallel-group, single-blind, randomised controlled trial
Our findings suggest that an online breathing and wellbeing programme can improve
the mental component of HRQoL and elements of breathlessness in people with persisting
symptoms after COVID-19. Mind–b...
www.thelancet.com
November 10, 2025 at 1:18 PM
Dyspnea has defo been a therapeutic target in Long Covid, and it seems that many have found benefit from the ENO's (English National Opera) "Breathe" programme (in collaboration with Imperial).
www.thelancet.com/journals/lan...
www.eno.org/engage/eno-b...
www.thelancet.com/journals/lan...
www.eno.org/engage/eno-b...