Guillaume Lobet
banner
guillaumelobet.bsky.social
Guillaume Lobet
@guillaumelobet.bsky.social
May the #Roots be with you!
Associate Professor @ UCLouvain.
#OpenSci #SciComm #plant #drought #cereals #gamification #bread #teaching. 👩‍🦰👩 #dad.

#StandUpForScience

Pronoms : he/him

Personal webiste : https://www.guillaumelobet.be/
Great annual fun day in Namur with the PEPA lab yesterday. Feeling very privileged to be working with such amazing people! @marcodago.bsky.social @adrienheymans.bsky.social @lucianm.bsky.social
May 29, 2025 at 4:51 PM
New paper out in @plantphys.bsky.social :

Juan Baca Cabrera combined #field & #lab/ #structural & #functional / #invivo & #insilico data to analyse how root #hydraulic traits decreased in German winter #wheat cultivars over 100 years of breeding

academic.oup.com/plphys/advan...
April 25, 2025 at 7:01 AM
& finally, we are looking for 4-year #phd student to identify the #root traits that most influence #water uptake dynamics using in silico #modeling. The PhD will be co-supervised by B Muller, from the INRAE.

🧪🌱💡 #joboffer #plantscijob #phd

Job offer here www.dropbox.com/scl/fi/2zg4q...
April 23, 2025 at 3:02 PM
Then we are looking for fully funded 4-year #phd student to to work on the #mapping of #root #trait variations European scale.

🧪🌱💡 #joboffer #plantscijob #phd #drooght005

Job offer here www.dropbox.com/scl/fi/iemn5...
April 23, 2025 at 3:02 PM
We are also looking for 3-year #postdoc to work on the in silico prediction of root ideotypes for drought resistance across Europe. The Postdoc will be co-supervised by Dr. Pierre Martre, from the INRAE

🧪🌱💡 #joboffer #plantscijob #phd #Drooght004

Job offer here www.dropbox.com/scl/fi/6oww2...
April 23, 2025 at 3:02 PM
We are looking for a fully funded 2-year #postdoc to work on the development, validation, and deployment of a new multiscale root modelling pipeline.

🧪🌱💡 #joboffer #plantscijob #phd #drooght003

Job offer here www.dropbox.com/scl/fi/4spy4...
April 23, 2025 at 3:02 PM
🧪🌱💡 #PlantSciJob

Are you passionate about #robust cropping systems? Do you want to explore how #plant #roots impact water flow across different scales?

I am thrilled to say that we have 4 open positions (2 #PhD, 2 #postdocs) @UCLouvain (BE) for the EU project DROOGHT.

More: drooght.github.io
April 23, 2025 at 2:57 PM
🧪🌱💡 #joboffer #plantscijob #postdoc

Exciting opportunity to join our #ERC funded #DROOGHT project at the UCLouvain in #Belgium

We are looking for a 2-year #postdoc to work on the development of a new #multiscale #root #modelling pipeline.

#wheat #drought #root

➡️ bit.ly/postdoc_droo...
April 22, 2025 at 1:39 PM
Faba bean / bread wheat intercropping growing strong at the university farm. Will the legume influence the root system dvpt of wheat? We'll check soon!
April 15, 2025 at 3:04 PM
The 2nd edition of 𝐈𝐧𝐭𝐞𝐫𝐧𝐚𝐭𝐢𝐨𝐧𝐚𝐥 𝐒𝐮𝐦𝐦𝐞𝐫 𝐒𝐜𝐡𝐨𝐨𝐥 𝐨𝐧 𝐌𝐨𝐝𝐞𝐥𝐢𝐧𝐠 𝐖𝐚𝐭𝐞𝐫 𝐅𝐥𝐮𝐱𝐞𝐬 𝐢𝐧 𝐭𝐡𝐞 𝐒𝐨𝐢𝐥-𝐏𝐥𝐚𝐧𝐭 𝐒𝐲𝐬𝐭𝐞𝐦 will be held at UCLouvain, BE, 8-12 Sept 2025.

The course will focus on water flow in the soil-rhizosphere-plant system, plant physiology and rhizosphere hydraulics.

www.uclouvain.be/en/research-...
April 8, 2025 at 6:17 PM
Beautiful day in the field at the @uclouvain.bsky.social university farm, planting (a lot of!!!) spinach for a mulch trial.
April 8, 2025 at 3:30 PM
It is always worth getting up early :) #gutation #wheat #field
April 1, 2025 at 6:31 AM
Good morning from the @uclouvain.bsky.social university farm
April 1, 2025 at 5:27 AM
I love how the love of scientists for fun Gene names (Sonic Hedgehog in this case) leads to strange article titles that sounds like action movies
December 20, 2024 at 1:23 PM
Very proud of @f-bauer.bsky.social who defended his PhD thesis today! Congratulation Dr Bauer!!

Also, fun traditions at the Uni Bonn 😉
December 16, 2024 at 4:07 PM
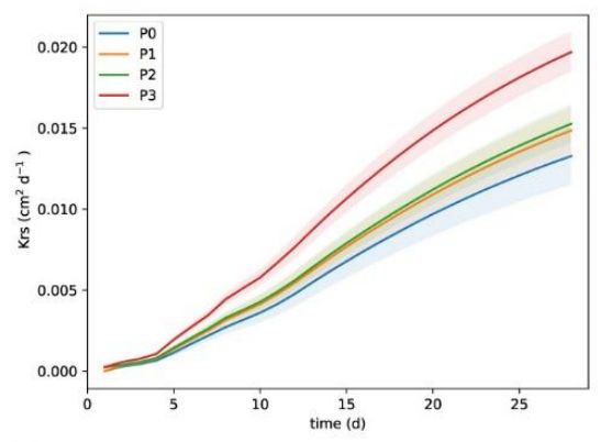
The , with the model, he estimated the changes in root hydraulic conductivity (Krs) over time, for the different P levels.

What he observed was a decoupling between the impact of P on the total root system size (structure) and Krs (function)
November 14, 2024 at 10:36 AM
In short, Felix grew plants in rhizotron under contrasted P supply. He digitalised the root and shoot development over time, to be able to calibrate a computational plant model, CPlantBox.
November 14, 2024 at 10:36 AM
This change was also confirmed by modelling the effect of root architecture changes on Krs using the computational root CPlantBox.

Together, these results suggest that that #breeding may have unintentionally favored cultivars with smaller root systems and more conservative water uptake strategies
November 13, 2024 at 7:40 AM
With Yann Boursiac, from @inrae-france.bsky.social in Montpellier, he also quantified the evolution of #functional root traits, in particular the root system conductivity (Krs, a proxy for water uptake capacity).

He observed that even at young stages, there was a decrease in Krs over time.
November 13, 2024 at 7:40 AM
Juan first quantified #structural differences in root system architecture.

For instance, he found out that the number of root axes (seminal and nodal #roots) tends to decrease with time, which was also observed in previous studies (check out Fradgley et al 2020).

But he went one step further.
November 13, 2024 at 7:40 AM
New #preprint alert from the lab :

Juan Baca Cabrera, together with a colleagues from Bonn and Montpellier, analysed the evolution of root system architecture through breeding for 6 German #wheat cultivars, 100 years old -> now.

dx.doi.org/10.1101/2024...
November 13, 2024 at 7:40 AM
Since there seems to be a lot of new people here (welcome!) here is a re-introduction :

Hey I am Guillaume, an associate professor in botany and agronomy at the UCLouvain, in Belgium. My research focuses on #roots, #architecture, #anatomy, #drought and mostly on #cereals ( #breadlove ).
November 9, 2024 at 8:13 AM
We organised a Scary Museum for Halloween for our students, with all the old zoological collections (bones, skulls, dead stuffs) from the faculty. A lot of fun and some scary moments for our visitors!
November 5, 2024 at 1:55 PM
8 years ago, I took the exact same picture, on my first day as an Assistant Professor in the IIBG3 .

During these 8 years, I had the chance to work with an awesome team of colleagues and participate in great projects. I feel very fortunate to have been in such good company for such a long time!
August 26, 2024 at 12:26 PM
🧪🌾

Exciting opportunity to join our #ERC funded #DROOGHT project at the UCLouvain in #Belgium

We are looking for fully funded 2-year #Postdoc researcher to develop, validate and deploy a new #opensource, scalable model-assisted field #root #phenotyping pipeline

Job offer here lnkd.in/eSnYBi_m
May 22, 2024 at 11:21 AM