GISMAU
banner
gismau.bsky.social
GISMAU
@gismau.bsky.social
Grupo de investigación en cambio climático, salud y medio ambiente urbano
Hoy estamos en esta interesante jornada👇
September 4, 2025 at 8:50 AM
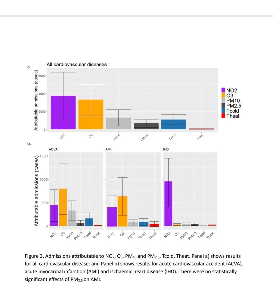
Incidencia de diferentes factores ambientales sobre los ingresos hospitalarios urgentes a corto plazo por causas cardiovasculares en España.

Observese el impacto del NO2 y el O3 frente al resto de las variables.
Nueva publicación de @gismau.bsky.social
et al.

doi.org/10.1007/s115...
September 3, 2025 at 5:46 AM
El O3 y las PM principales contaminantes que incrementan el riesgo de ingreso urgente en un hospital durante la combustión de biomasa en España. Artículo actual de
@gismau.bsky.social et al.👇
doi.org/10.1016/j.sc...
July 18, 2025 at 7:52 AM
Este jueves estaremos por aquí junto a @ecoinsomnes.bsky.social 👇
April 21, 2025 at 7:53 AM
El cumplimiento de la nueva Directiva UE sobre calidad del aire, solo supone una disminución del 1,2% en los ingresos hospitalarios a corto plazo atribuibles a PM y NO2. Cumplir con los valores guía de la OMS conllevaría una disminución del 11,6%

Es el momento de ser más ambiciosos.
March 12, 2025 at 6:58 AM
A la contaminación atmosférica se le atribuyen en España 62 000 hospitalizaciones urgentes al año theconversation.com/a-la-contami... Infografia de @jesusdelaosa.bsky.social y estudio de @gismau.bsky.social
March 11, 2025 at 9:10 AM
Si se hubiesen cumplido los valores límite de la UE para PM y NO2 en 2013-2018 los ingresos hospitalarios apenas habrían bajado un 1,3%.

Cumplir los valores Guia de la OMS los hubiesen disminuido en un 11,5%.
Nueva publicación de @gismau.bsky.social 👇

doi.org/10.1016/j.sc...
March 3, 2025 at 5:13 PM
La contaminación atmosférica en España se relaciona a corto plazo con 62.000 ingresos hospitalarios urgentes al año con un coste de 860 millones €.
La temperatura en olas de frío con 4.100 ingresos/año y en olas de calor con 1.200.

@gismau.bsky.social y otros

doi.org/10.1016/j.sc...
February 24, 2025 at 4:58 AM
Así afecta, a corto plazo, el ruido de tráfico a la salud.
Infografía de @jesusdelaosa.bsky.social basada en estudios de @gismau.bsky.social
January 25, 2025 at 10:27 AM
El ruido, el gran olvidado de la salud urbana: "Es como mínimo igual de dañino que la contaminación del aire".

Efectos del ruido de tráfico en la salud:
Infografía: @jesusdelaosa.bsky.social

Investigación: @gismau.bsky.social
December 14, 2024 at 6:00 AM