Δημήτρης Δαλαγιώργος
banner
dalagiorgos.bsky.social
Δημήτρης Δαλαγιώργος
@dalagiorgos.bsky.social
Ναι στο Δημοψήφισμα, Ναι στα εμβόλια, Ναι στις ανεμογεννήτριες, Ψόφο στον Πούτιν
😂
Ανα χρονιά που πρωτοπήγα

Αν εξαιρέσεις την Ελλάδα, που την έκανα παρδαλή, και την Κύπρο, που την έκανα κόκκινη, τα υπόλοιπα είναι οι αποχρώσεις του μπλε με τη σειρά που τα έχει η εφαρμογή
November 16, 2025 at 2:02 PM
More, I need more
November 16, 2025 at 1:25 PM
Σιγά μην έχω δύο χρόνια στο bluesky!
Πώς περνούν έτσι τα χρόνια;
November 15, 2025 at 7:08 PM
Έπινα ένα τώρα.
Μπουκάλι, όχι ποτήρι.
November 10, 2025 at 4:40 PM
Κλεμμένο
November 6, 2025 at 5:21 AM
October 28, 2025 at 11:01 AM
Audi alteram partem

‘Free Agents’ by @wiringthebrain.bsky.social
October 23, 2025 at 11:36 AM
October 22, 2025 at 4:22 AM
Can we start with the Civil War?
I’m bored already!
Or declare for The Great American Reich and be done with it!
October 6, 2025 at 2:02 PM
Δεν περίμενα ποτέ ότι θα νιώσω νοσταλγία για το Δουβλίνο, αλλά βλέποντας το House of Guinness στο Netflix, να που ένιωσα!
September 27, 2025 at 3:25 PM
Όμορφη Κοζάνη 2/2
September 24, 2025 at 4:49 PM
Όμορφη Κοζάνη 1/2
September 24, 2025 at 4:49 PM
I still think that I live in a simulation and the world going to hell is just me dying
September 13, 2025 at 9:43 PM
Εγώ μπορώ να βλέπω τις μετρήσεις σε κάποιο site/app;
September 6, 2025 at 12:49 PM
Ωραίο το threaded tree view
September 6, 2025 at 12:48 PM
Γιατί παθιάζεται ο κόσμος με κάτι τόσο βαρετό;
August 24, 2025 at 4:47 PM
Hello fellow traveller
August 20, 2025 at 12:15 PM
What does this image mean regarding vaccination?
August 18, 2025 at 9:04 AM
Οδός Βερμίου στην Κοζάνη.
Κάθε φορά που πάω για περπάτημα βλέπω νέα κάγκελα ισοπεδωμένα από κάποιο όχημα που έπεσε πάνω τους.
Κατά τ' άλλα "Περιοχή 40 χαω" σύμφωνα με τις πινακίδες.
Μέχρι στιγμής δεν έχει σκοτωθεί κανένας - ακόμα.
August 16, 2025 at 9:17 PM
So... for the USA is either this or Authoritarianism?

(I don't see anyone in the armed forces - or anywhere else in the Federal Government, or the Senate, or the House - standing up to Trump, so either they dig it, or are too afraid, so the ones willing to stand up will have to do what exactly?)
August 15, 2025 at 1:37 PM
August 13, 2025 at 5:56 PM
Έπινα ένα τώρα
August 5, 2025 at 6:18 PM
Τέλος Ιουλίου
(Ωραίες συμπτώσεις)
July 24, 2025 at 9:05 PM
Άμα κερδίσω το Τζόκερ, ένα τέτοιο σπίτι θέλω, να κάνω μπάνιο στην πισίνα και να αγναντεύω τη θάλασσα.
Από μακριά...
deca.gr/project/the-...
July 23, 2025 at 2:36 PM
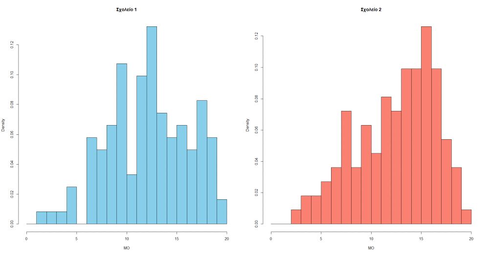
Το ChatGPT λέει ότι "Η κατανομή στο Σχολείο 2 είναι μετατοπισμένη προς τα δεξιά. Αυτό σημαίνει ότι μεγαλύτερο ποσοστό μαθητών του Σχολείου 2 έχει καλούς και άριστους μέσους όρους." και "Το Σχολείο 1 έχει μεγαλύτερη διασπορά. Αυτό υποδηλώνει ότι το Σχολείο 1 έχει μεγαλύτερη εσωτερική ανισότητα"
July 11, 2025 at 9:14 AM