Christian Bokhove
banner
cbokhove.bsky.social
Christian Bokhove
@cbokhove.bsky.social
Professor in Mathematics Education, Director of Research, @MASEsoton, TIMSS+PISA, Research Methods, R, School Mathematics Project
Teachers -> The Southampton Summer Statistics School (SSSS) (9-11 July 2025) is a free, three-day event designed to help professionals, academics and doctoral students from any organisation strengthen their quantitative analysis skills.

www.eventbrite.com/e/southampto...
May 29, 2025 at 12:27 PM
Phenomenal.
High points Damaris and Hymn of the Haar.
New album work sounds very good.
Technical hitches a bit annoying.
May 16, 2025 at 7:45 AM
Very excited to see Patrick Wolf soon.
May 8, 2025 at 5:35 PM
This was phenomenal. Great voice, great variety in guitar playing, great lyrics. I channeled my George Boomsma in "two ships passing". I hope you get your narrowboat soon @KatherinePriddy
May 3, 2025 at 10:12 PM
ristol is a very nice city. Here for @KatherinePriddy - Bristol Folk Festival
May 3, 2025 at 6:54 PM
At the fourth Festival of Open Research at @unisouthampton
#ukrn - speakers in the morning session were Gavin Buckingham from Exeter and Simon Kolstoe from Portsmouth.
April 24, 2025 at 4:53 PM
No #AERA2025 for me but check out Jiayi Cen on 'Toward Defining Creative Processes in Minecraft by Analysing Timesync Comments'. Tomorrow Thu, April 24, 9:50 to 11:20am MDT, The Colorado Convention Center, Floor: Meeting Room Level, Room 710.
April 23, 2025 at 5:10 PM
I'm in Japan for the EJEME project, which works on co-designing digital mathematics books.
February 28, 2025 at 2:02 PM
Looking on Facebook, linkedin, X, BlueSky... Many of them have a lot of signalling of being 'evidence-informed' through hyperbole and misrepresentation of evidence.
Often it goes something like the diagram...
January 21, 2025 at 11:43 PM
(oh wait, one experiment with high school students 👍)

But take this table. Enjoyment 59.1 vs 63.0? Load 40.4 vs 35.9? Doesn't sound like much.

Nevertheless very interesting.
January 4, 2025 at 4:24 PM
Five experiments were conducted, and each looked at the difference between syllogisms that represented biol primary or secondary knowledge for performance, enjoyment, load etc.
Although statistically significant differences, I wasn't that impressed by the practical significance of the differences.
January 4, 2025 at 4:18 PM
Baking oliebollen with Anyma on loud.
December 31, 2024 at 6:59 PM
Phew, it took ages to get this published, but article about classroom experiment w/ seminal app finally has a place. To appear soon.
December 24, 2024 at 1:16 PM
It's a nice mug.
But the maths...
December 23, 2024 at 11:48 AM
Sinterklaas
December 5, 2024 at 10:16 PM
First Victorious line-up looking good.
December 3, 2024 at 10:50 AM
When people discuss CLT effects I seldom hear them mention that Sweller et al. (2019) themselves call some 'compound effects', which he imo rather vaguely calls them 'not a simple effect' but 'an effect that alters the characteristics of other cognitive load effects' (p. 276).
December 3, 2024 at 10:34 AM
Chapter 4 has this graph on maths anxiety. Seems relatively low for the UK, and not worsened much.
December 1, 2024 at 2:21 PM
This one is just before it in the report.
December 1, 2024 at 2:15 PM
Based on PISA 2022 - volume 5 is here www.oecd.org/en/publicati... - this graph presents UK. It might be relatively good compared w/ other countries, but below 50% -> No ‘anti-maths mindset’ in English schools, says OECD www.tes.com/magazine/new...
December 1, 2024 at 2:14 PM
And inverse:
November 30, 2024 at 3:54 PM
..Ngu then moves to two step equations. At first I thought maybe it was because of that fact that having variables on both sides necessitates a balance method. Unfortunately it wasn't. Balance:
November 30, 2024 at 3:53 PM
Inverse:
November 30, 2024 at 3:51 PM
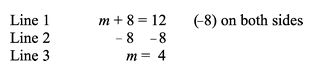
For example, Ngu looked at 1-step equations for both methods. Balance:
November 30, 2024 at 3:51 PM
Fascinating 'mathematics' on this presumably AI generated image.
November 25, 2024 at 6:05 PM