https://www.researchgate.net/profile/Ben-Hunter-2?ev=hdr_xprf
🙏 Thank you to all those that made the study possible, particularly the runners!
🔁 Sharing this thread would be appreciated.
Happy to answer any Qs!
🙏 Thank you to all those that made the study possible, particularly the runners!
🔁 Sharing this thread would be appreciated.
Happy to answer any Qs!
🍔 Takeaway message:
- Determinants of endurance performance decline after prolonged running.
- Smaller drops in the sLT following prolonged running are associated with faster marathons.
- Durability should be considered alongside the “big three” when profiling runners.
🍔 Takeaway message:
- Determinants of endurance performance decline after prolonged running.
- Smaller drops in the sLT following prolonged running are associated with faster marathons.
- Durability should be considered alongside the “big three” when profiling runners.
🤔 Why could the durability of the sLT matter?
sLT integrates VO₂peak, FULT, and RE, but these change to different extents between individuals following prolonged exercise.
Changes to sLT may be a useful composite measure of durability to monitor in runners.
🤔 Why could the durability of the sLT matter?
sLT integrates VO₂peak, FULT, and RE, but these change to different extents between individuals following prolonged exercise.
Changes to sLT may be a useful composite measure of durability to monitor in runners.
🔑 The key finding:
The smaller the decline in the sLT between PRE and POST, the faster the runner’s marathon time (D)
Runners with more “durable” thresholds performed better.
🔑 The key finding:
The smaller the decline in the sLT between PRE and POST, the faster the runner’s marathon time (D)
Runners with more “durable” thresholds performed better.
After a 90-min run at lactate threshold pace, from PRE to POST on average:
- VO₂peak ⬇️ ~6%
- RE and FULT ↔️
- Speed at lactate threshold (sLT) ⬇️ ~0.7 km/h
⚠️ changes to these exhibited inter individual variability.
After a 90-min run at lactate threshold pace, from PRE to POST on average:
- VO₂peak ⬇️ ~6%
- RE and FULT ↔️
- Speed at lactate threshold (sLT) ⬇️ ~0.7 km/h
⚠️ changes to these exhibited inter individual variability.
In this study, we measured determinants of endurance performance (VO₂peak, FULT, and RE) in 18 runners from the 2024 London Marathon in both fresh (PRE) and fatigued (POST) states, as well as tracking their performance during the race.
In this study, we measured determinants of endurance performance (VO₂peak, FULT, and RE) in 18 runners from the 2024 London Marathon in both fresh (PRE) and fatigued (POST) states, as well as tracking their performance during the race.
The “big three” deteriorate following prolonged exercise, potentially impacting marathon performance.
The resistance to this deterioration has been termed durability or resilience.
The “big three” deteriorate following prolonged exercise, potentially impacting marathon performance.
The resistance to this deterioration has been termed durability or resilience.
Traditionally, performance is explained by the “big three”:
- Maximal oxygen uptake (VO₂peak)
- Fractional utilisation at lactate threshold (FULT)
- Running economy (RE)
These combine to give the speed at lactate threshold.
Traditionally, performance is explained by the “big three”:
- Maximal oxygen uptake (VO₂peak)
- Fractional utilisation at lactate threshold (FULT)
- Running economy (RE)
These combine to give the speed at lactate threshold.
It would be cool to see future work further examine the relationship between changes to running biomechanics and durability, possibly in more controlled settings.
It would be cool to see future work further examine the relationship between changes to running biomechanics and durability, possibly in more controlled settings.
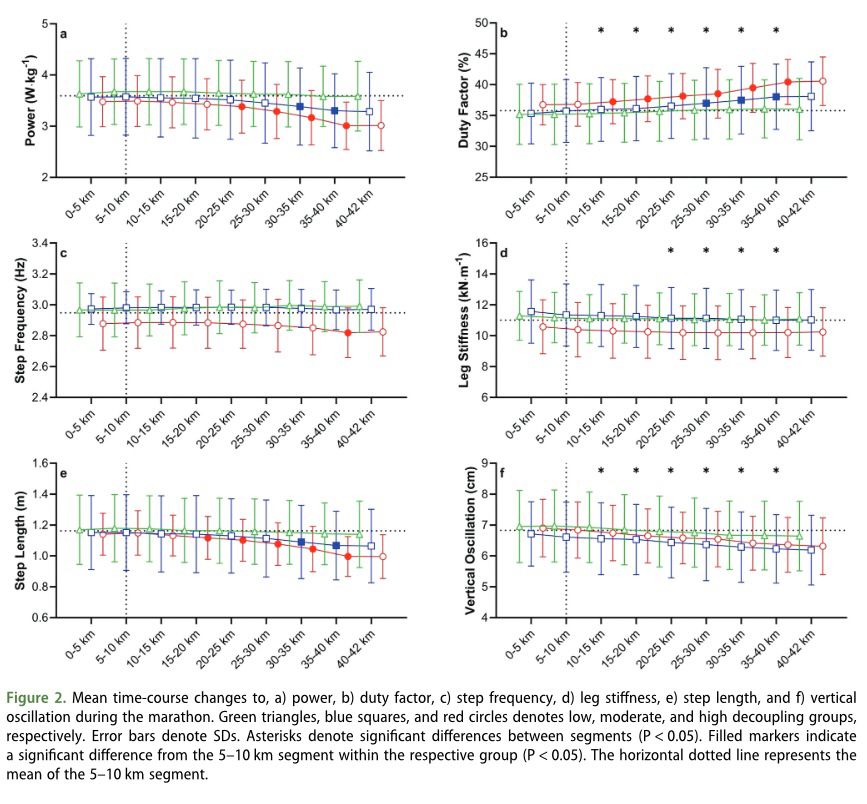
Interestingly, only the most durable runners (low decoupling) changed their speed-adjusted stride mechanics over time:
⬆️ step frequency
⬇️ step length and vertical oscillation
These shifts may (or may not) reflect economical adaptations under fatigue.
Interestingly, only the most durable runners (low decoupling) changed their speed-adjusted stride mechanics over time:
⬆️ step frequency
⬇️ step length and vertical oscillation
These shifts may (or may not) reflect economical adaptations under fatigue.
BUT after adjusting for speed, most of these differences disappeared, suggesting that The findings suggest that most commonly observed biomechanical changes following prolonged running are largely mediated by changes in speed.
BUT after adjusting for speed, most of these differences disappeared, suggesting that The findings suggest that most commonly observed biomechanical changes following prolonged running are largely mediated by changes in speed.
Runners with greater decoupling slowed more and showed larger biomechanical deteriorations.
Runners with greater decoupling slowed more and showed larger biomechanical deteriorations.
We recruited 69 marathon runners and analysed their HR + footpod data over 5 km splits during their respective marathons. They were separated into low, moderate, or high decoupling groups.
We recruited 69 marathon runners and analysed their HR + footpod data over 5 km splits during their respective marathons. They were separated into low, moderate, or high decoupling groups.
Durability = ability to resist physiological deterioration (e.g., HR rising for same speed). Measured here as HR-to-speed decoupling. Lower decoupling = better durability.
Durability = ability to resist physiological deterioration (e.g., HR rising for same speed). Measured here as HR-to-speed decoupling. Lower decoupling = better durability.