banner
laurawesseldijk.bsky.social
@laurawesseldijk.bsky.social
Reposted
First time on Bsky and first big announcement!

I am excited to announce that our new study explaining the missing heritability of many phenotypes using WGS data from ~347,000 UK Biobank participants has just been published in @Nature.

Our manuscript is here: www.nature.com/articles/s41....
Estimation and mapping of the missing heritability of human phenotypes - Nature
WGS data were used from 347,630 individuals with European ancestry in the UK Biobank to obtain high-precision estimates of coding and non-coding rare variant heritability for 34 co...
www.nature.com
November 12, 2025 at 5:57 PM
Reposted
With sequencing of Hitler's DNA making headlines, time for a reminder: analysing a polygenic score from a dead historically-significant figure won't give new insights into that person's behaviour. In a brief paper last year, we used Beethoven's genome to directly illustrate the fallacies involved.🧪👇
Notes from Beethoven’s genome
Wesseldijk et al. compare the genomic information collected from Ludwig van Beethoven with population-based datasets used to quantify musical achievement.
www.cell.com
November 13, 2025 at 11:26 AM
Reposted
Loved hosting @essgn.bsky.social in Oxford including @dr-appie.bsky.social & family (& the rest of the ESSGN family as well) - read the post and links below to hear about this great event
September 17, 2025 at 7:52 PM
Reposted
The largest study on late life virginity, based on >400k individuals, out now in @pnas.org

Open access link: pnas.org/doi/10.1073/...

Shoutout to shared first author @laurawesseldijk.bsky.social ❤️

Thread below 👇🏽
September 16, 2025 at 8:26 PM
Reposted
Some people call it a minefield. Others call it dangerous, even irresponsible. I call it the most promising field in life sciences.

My love letter to social science genetics: communities.springernature.com/posts/a-love...
A Love Letter to Social Science Genetics
Some people call social science genetics a minefield. Others call it dangerous, even irresponsible. I call it the most promising field in life sciences.
communities.springernature.com
September 8, 2025 at 5:55 AM
Reposted
All cats are scientists, I will not be taking questions at this time.
July 17, 2025 at 4:03 PM
Reposted
Link to walk-up songs picked by attendees from the Musicality Genomics Consortium in 2023.

I won't release who's who. Only unlinked suspects @profsimonfisher.bsky.social @musiccognition.bsky.social @mehr.nz @dr-appie.bsky.social @laurawesseldijk.bsky.social ...

open.spotify.com/playlist/7rU...
MusicGens 2023
Playlist · Giacomo Bignardi · 20 items · 4 saves
open.spotify.com
July 14, 2025 at 6:26 PM
Reposted
Extremely excited to share the first effort of the Revived Genomics of Personality Consortium: A highly-powered, comprehensive GWAS of the Big Five personality traits in 1.14 million participants from 46 cohorts. www.biorxiv.org/content/10.1...
May 20, 2025 at 10:14 AM
Reposted
Ik sprak lang met @dr-appie.bsky.social, over genen, over maatschappelijke ongelijkheid en zelfs over Dzjengis Khan... voor @nrcwetenschap.bsky.social www.nrc.nl/nieuws/2025/...
‘Natuurlijk ben je niet je genen! Maar wie ben je dan wel?’
Abdel Abdellaoui | geneticus: Tussen genen en samenleving is een voortdurende wisselwerking gaande. „Wij mensen hebben een veel te simpel idee over hoe we in elkaar zitten.”
www.nrc.nl
May 8, 2025 at 3:41 PM
Reposted
🎵 Why do some people enjoy #music more than others? New findings published in @naturecomms.bsky.social show that our capacity to enjoy music is partly inherited, with 54% of music enjoyment variability linked to #DNA differences: doi.org/10.1038/s414...

@mpi-nl.bsky.social @ki.se #BehaviorGenetics
April 11, 2025 at 1:04 PM
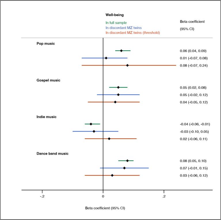
Does your music style preference say something about your well-being? Most likely not! We tested 19 music genres, of which only 4 were related to well-being, with genetic analyses showing no causality. Great work by master student Anastasiia Bratchenko! 🎶 www.sciencedirect.com/science/arti...
April 9, 2025 at 7:25 AM
Reposted
Debunking “nature versus nurture”, a thread.
Different people in a population carry variations in their DNA; the science of genetics makes it possible to assess if/how that correlates with individual differences in any observable trait, from medical conditions to aspects of cognition/behaviour.🧪1/9
April 6, 2025 at 1:59 PM
Reposted
Music science offers multiple examples of nature/nurture interplay. Here’s just one, from @laurawesseldijk.bsky.social. An enriched childhood environment is associated with higher music achievement in adulthood. But such effects are amplified in people who have a genetic predisposition. 8/9 [More 👇]
Music and Genetics
The first part of this review provides a brief historical background of behavior genetic research and how twin and genotype data can be utilized to st…
www.sciencedirect.com
April 6, 2025 at 4:15 PM
Reposted
Did you get a chance to read the thread on our new @naturehumbehav.bsky.social paper on SES yet?

If not, don't worry, I have something better for you!

Check out this comic by the amazing @lizahaart.bsky.social

Complete comic: communities.springernature.com/posts/are-we...

Or in this thread 👇🏾
March 28, 2025 at 12:41 PM
Reposted
In every civilization, people end up sorted into levels of socio-economic status (SES). We explore the history, present, and future of scientific research on the complicated relationship between SES and DNA in @naturehumbehav.bsky.social💰🧬🎓

Link: rdcu.be/efacK

Thread below 👇🏽
March 26, 2025 at 11:16 AM
Reposted
“What an odd thing“ wrote Oliver Sacks “to see an entire species playing with listening to meaningless tonal patterns, preoccupied for much of their time by what they call ‘music’...“. Our new paper, led by ace student @giacomobignardi.bsky.social, unpacks this puzzle from a genetic perspective. 🧪
Twin modelling reveals partly distinct genetic pathways to music enjoyment - Nature Communications
Here, Bignardi et al. report on a study of over 9,000 Swedish twins that indicates the ability to enjoy music is influenced by multiple partly distinct genetic factors.
www.nature.com
March 25, 2025 at 10:07 PM
Reposted
In the Feb 2025 issue of @naturehumbehav.bsky.social, we integrate data from largescale genome scans of dyslexia & rhythm skills, as a novel way to study biological overlaps between human traits related to language & musicality. Just one part of the excellent PhD work of @gokberkalagoz.bsky.social.🧪
The shared genetic architecture and evolution of human language and musical rhythm - Nature Human Behaviour
Using a battery of statistical tools, Alagöz et al. examine the genetic overlap between dyslexia and rhythm impairment and shed light on how the genome influences the neural bases of human language an...
www.nature.com
February 28, 2025 at 3:50 PM
Reposted
🚨PLEASE SHARE: Senior reseach post: come and work at the IEU with Gib Hemani and @mendelrandom.bsky.social on Mendelian randomization, become my co-worker :) – research posts with closing date 5th February 2025.
Details | Working at Bristol | University of Bristol
University of Bristol Beacon House Queens Road Bristol, BS8 1QU, UK Tel: +44 (0)117 928 9000 Contact us
bristol.ac.uk
January 13, 2025 at 3:07 PM
Reposted
Genomic advances offer a novel route for investigating biological overlaps between musicality- and language-related traits. Here's a nice blog by my fab co-author Reyna Gordon, not (yet) on Bluesky, in which she breaks down our recently published @naturehumbehav.bsky.social paper on this topic. 🧪
Our musical rhythm and language skills share genomic underpinnings
Our new study by Alagöz et al. in Nature Human Behaviour digs into shared biological underpinnings of musical rhythm and language skills through genomic, neural, and evolutionary perspectives.
communities.springernature.com
January 8, 2025 at 5:20 PM
Reposted
My contribution to the Christmas dinner: an almond paste puff pastry roll with one gluten-free DNA strand. It was delicious 🎅🏽
December 21, 2024 at 10:00 AM
Reposted
The Max Planck Society @maxplanck.de shares 12 highlights of 2024 research across diverse fields, including first photo of a star beyond the Milky Way, sequences of oldest modern human genomes, a wild orangutan treating wounds with a medicinal plant, + our paper on genes, musicality & Beethoven: 🧪
Research highlights 2024
The year 2024 saw Max Planck scientists publishing exceptional research across disciplines. We have selected twelve highlights to share.
www.mpg.de
December 23, 2024 at 3:21 PM
Reposted
In a @currentbiology.bsky.social paper earlier this year, led by @laurawesseldijk.bsky.social, we analysed Beethoven’s genome with a polygenic index related to musicality, as a way to communicate limits of genetic predictions at the individual level & the complexity of links between DNA & behaviour:
Notes from Beethoven’s genome
Wesseldijk et al. compare the genomic information collected from Ludwig van Beethoven with population-based datasets used to quantify musical achievement.
www.cell.com
December 5, 2024 at 8:45 PM