FinansDrängen
finansdrangen.bsky.social
FinansDrängen
@finansdrangen.bsky.social
Billigt me skog nu,köper så mkt jag orkar,frågan är när omprisningen ska ske,kan förbli dead money ett tag till,kanske behöver byggkonjunkturen vända & bli bra igen,så industridelarna/sågverken oxå börjar gå bra innan aktierna vänder upp på riktigt #FinansTwitter $SCA $STE $HOLM
August 23, 2025 at 7:32 AM
Godkänd månad igen 🤠☀️🍓 passiv månad, inget köpt & inget sålt #FinansTwitter
July 1, 2025 at 9:57 PM
Lägger vi April 2025 till historien också, ser fram emot att se hur bra den månadens köp kommer att se ut om 5-10år #FinansTwitter
May 5, 2025 at 5:44 PM
👌 spännande bolag, blir spännande lyssning
Dynavox har ungefär samma försäljningsmodell som Plejd. Via nyckelpersoner når man ut på marknader. Men istället för elektriker är det logopeder. Med USA som största marknad –vad händer nu? Och hur funkar kommunikationshjälpmedel på djupet? Lyssna! podcasts.apple.com/se/podcast/e...
Fredrik Ruben, vd, och Victor Kaiser, teknisk support, Dynavox
Poddavsnitt · Ett rikare liv · 2025-04-17 · 1 tim 30 min
podcasts.apple.com
April 17, 2025 at 11:16 AM
Varför är SBB fortsatt blankade till 16,2% härifrån?🧐🤔🧐 vilka triggers ska få ned kursen? Vad är kort-caset? #FinansTwitter
April 17, 2025 at 11:14 AM
Påminn mig om 5 & 10 år, då hoppas dom här ”dipp-köpen” på idiot-tullarna ser ganska mkt ut som vältajmade investeringar i en tid där Mr Market bjöd till extra pga kortsiktigt brus av högsta bruskaliber #Finanstwitter #Investor #KvalitetsAktie
April 17, 2025 at 8:35 AM
Reposted by FinansDrängen
Äntligen, där kom det!

#BioArctic: EU godkänner Leqembi® (lecanemab) för behandling av tidig Alzheimers sjukdom.
BioArctic: EU godkänner Leqembi® (lecanemab) för behandling av t...
Stockholm den 15 april 2025 - Europeiska kommissionen har idag meddelat att de har beviljat marknadsföringstillstånd för BioArctic AB:s (publ) (Nasdaq Stockholm: BIOA B) partner Eisais ansökan ...
mfn.se
April 15, 2025 at 6:44 PM
Ändå lite spännande att det är sånt tryck att både Nordnet & Avanza totalkraschar 😛
April 10, 2025 at 7:34 AM
Reposted by FinansDrängen
Tål att påminna sig om, #finanstwitter.
April 9, 2025 at 3:40 PM
Fortsätter ”bada i skiten” 💩 sitter på köpknappen även denna vecka. Hur gör ni andra? #Finanstwitter
April 7, 2025 at 7:55 AM
Tog hem vinsten på dessa Saab idag,köpta för 60kr,sålda för 401kr,tyvärr inte av goda anledningar.köpt lite XVIVO, Plejd, sedana (gick10%direkt😅😛), Acast, ossdesign,raysearch & everysport för pengarna istället
Blir mer å mer sugen å ta hem vinsten i $SAAB B känns som mkt är inprisat nu,men vågar ej sälja,kommer väll fortsätta ralla vidare härifrån mtp sentimentet på temat.Så gick väll å blev momentuminvesterare hux flux då🤷‍♂️ #finanstwitter
April 1, 2025 at 7:33 PM
Utdelning $SWED A 21,7 kr, nu ska vi se hur mkt kursen går ned på X-dagen, när pengar transfereras från ägarnas ena ficka till den andra 🤔🧐 #Finanstwitter
March 27, 2025 at 8:13 AM
Reposted by FinansDrängen
Idéer och case går att låna, men inte conviction - glöm inte det.
March 20, 2025 at 5:59 PM
Reposted by FinansDrängen
Tål att upprepas: Sluta inte köpa!
March 14, 2025 at 5:00 PM
Reposted by FinansDrängen
Den här är ändå rätt vacker #Acast
March 14, 2025 at 6:15 PM
Fantastiskt avsnitt, två killar med fruktansvärt mycket kunskap & idéer & filsosofier kring investeringar som man kan dra lärdom av 📖 👌👏🤠
PODD‼️🔥 Aktienörden @richardbrase.bsky.social är känd för sin vassa penna och bråsningar - sittandes hemma på kammaren på Tjörn med näsan i årsredovisningarnas fotnötter. Nu sadlar han om till förvaltare på Protean Aktiesparfond Norden 🧐 #PrataPengar #Finanstwitter open.spotify.com/episode/6NtW...
March 14, 2025 at 7:22 PM
Reposted by FinansDrängen
Redeyes Quality Microcap-rapport för det fjärde kvartalet publicerades tidigt imorse.

Den innehåller kommentarer på 20+ bolag, en intervju med @89olle.bsky.social och en sammanfattning av Hubert Jolys bok, The Heart of Business.

Rapporten går att läsa nedan:
www.redeye.se/research/108...
March 10, 2025 at 7:30 AM
Reposted by FinansDrängen
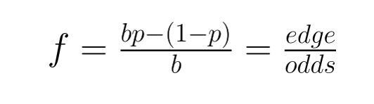
Hur stor ska en position vara? 📏

Det finns ett koncept som kallas Kelly-kriteriet som maximerar CAGR, men det kräver att du exakt vet sannolikheten för vinst och förlust. Du behöver alltså känna till både din edge och hur stor den är jämfört med oddsen.
March 8, 2025 at 9:29 AM
Reposted by FinansDrängen
Vad ska bolaget fokusera på? ROIC eller vinsttillväxt?

Generellt ska företag med hög ROIC fokusera på vinsttillväxt medan bolag med låg ROIC ska försöka få upp ROIC först, innan (vinst) tillväxtsatsningar ->
March 2, 2025 at 4:21 PM
Reposted by FinansDrängen
En re-cap:
*ROIC = NOPAT/Investerat kapital
*NOPAT = Net Operating Profit After Taxes
*Investerat kapital=Rörelsekapital + anläggningstillgångar - kassa

Företag med hög ROIC/låg vinsttillväxt kan ha samma värdering som ett företag med låg ROIC/hög vinsttillväxt.
->
March 2, 2025 at 4:21 PM
Reposted by FinansDrängen
Vem ska han podda med då? Jo, Jesper von Koch (Kavaljer) gjorde ju ett fint reklaminhopp i KAP#173 där han hade en fin genomgång av Green landscaping i sann KAP-anda. Tror han skulle vara riktigt bra parhäst till Macke!

Kom igen Macke, Jesper och Kavaljer, make it happen!
March 4, 2025 at 3:14 PM
Blir mer å mer sugen å ta hem vinsten i $SAAB B känns som mkt är inprisat nu,men vågar ej sälja,kommer väll fortsätta ralla vidare härifrån mtp sentimentet på temat.Så gick väll å blev momentuminvesterare hux flux då🤷‍♂️ #finanstwitter
March 5, 2025 at 10:03 AM
Reposted by FinansDrängen
Trader risk management list från Taleb

Undvik negativ skew, extrapolera inte historisk data och fall inte för "the problem of induction".
March 4, 2025 at 6:04 PM
Reposted by FinansDrängen
@bullseyex.bsky.social tipsade för länge sedan om The P/E Ratio: A User’s Manual, som visar att spreaden mellan ROIC och WACC avgör fair value. Hög tillväxt med negativ spread är värdeförstörande och bör värderas lägre än nolltillväxt.
March 3, 2025 at 3:00 PM
Reposted by FinansDrängen
Angående att hitta felprisade odds: Denna tabell från Kvalitetsaktiepodden illustrerar tydligt hur priset du betalar diskonterar framtida tillväxt. Ju högre pris, desto större tillväxt krävs för att uppnå samma avkastning.
Marknaden prisar alltid in något.
March 3, 2025 at 3:00 PM