Comfychair
banner
comfychair.bsky.social
Comfychair
@comfychair.bsky.social
Looking for mathematics and problem solving. I sometimes remember to post interesting things related to my maths teaching.
We did look at that, which led to us looking at the question “When does green become red?”
January 28, 2025 at 9:21 PM
Ah, we allowed ourselves the use of the plus/minus symbol and defined more of a mapping than a function.
January 27, 2025 at 10:51 PM
I agree that it’s demanding. The list of 3 things I wrote earlier is actually a list of the things I had to do to complete the rearrangement. TheMathsBazaar is right that the context was iterative methods.
January 20, 2025 at 7:04 PM
We had, in no particular order…
1) Remove decimal coefficients.
2) Identify what the last few steps in the rearrangement must be.
3) Work towards a middle with both forms then rewrite the process start to finish afterwards.
January 20, 2025 at 4:13 PM
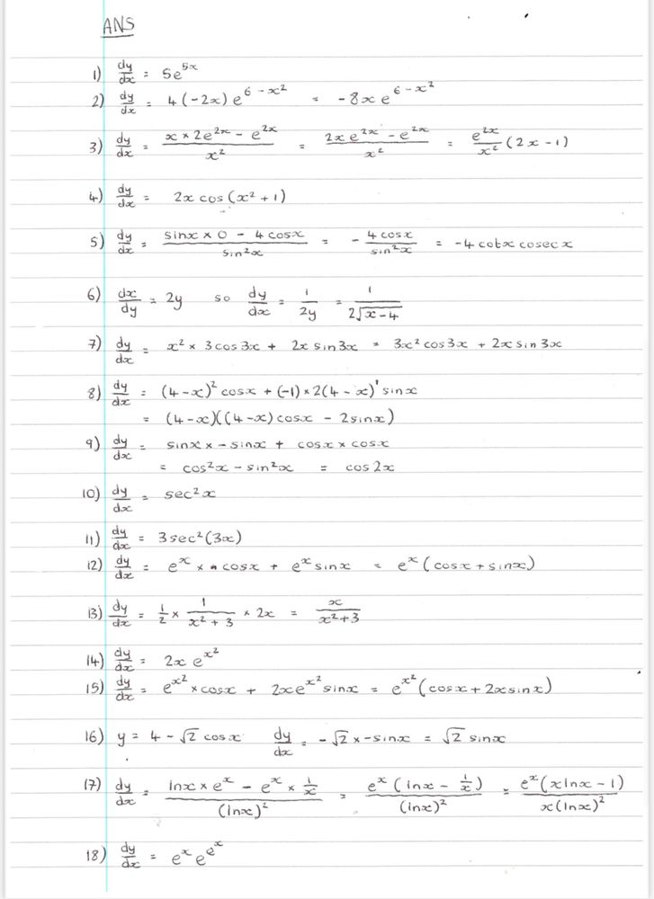
Answers below.
January 17, 2025 at 3:50 PM
Recently I’ve been going with “Two sinh sinh, hush hush, minus sign” to the tune of Kajagoogoo’s Too Shy.
January 16, 2025 at 6:50 PM
This led to good discussion, partly because, with v = 0 there is no way to reverse engineer the right numerator. I think v has to be v or -v throughout. Ordinarily I’d take my own advice and have the “after” arrows pointing in the same direction. I find pupils make sign errors less often that way.
January 16, 2025 at 6:44 PM
I also showed them the classic puzzle, “how do you slice a cake into 8 equal pieces with only 3 cuts?” Here the natural model for the cake, a circle, makes the problem impossible.
January 14, 2025 at 2:34 PM
One student did ask about the reason for taking the +ve square root. We looked at the graphs below to help us decide.
January 13, 2025 at 10:51 PM