Tadeas Cely
banner
celytadeas.bsky.social
Tadeas Cely
@celytadeas.bsky.social
Postdoc in political science (Aarhus‬ University)
Working on ideology, polarization, and how to save democracy from ourselves
https://tadeascely.github.io/
We used a different between-subject experimental design and wording. Various checks and screening procedures were implemented to ensure validity. To enhance realism, we also included policy positions in the vignette. The second study nevertheless replicates the first.
October 25, 2025 at 9:32 AM
However, using a high-powered vignette experiment in which voters chose between candidates across different races, we found no difference in their willingness to defect from undemocratic politicians. This held regardless of the type or number of norm violations in the vignette.
October 25, 2025 at 9:32 AM
Norm-violating behavior occurs at all levels of 🇺🇸 government. As local and state politicians often ascend to national office, this could suggest a pipeline of backsliders. Yet, in lower-stakes local elections, citizens may often fail to hold such politicians accountable.
October 25, 2025 at 9:32 AM
⚠️New paper fothcoming in POQ! ⚠️
With @marcjacob.bsky.social and @seanjwestwood.bsky.social, we worried about norm-violating local politicians rising to higher office. We tested when voters defect from such politicians in local, state and federal races.
osf.io/preprints/ps...
🧵...
October 25, 2025 at 9:32 AM
2️⃣In the second study, I hid some views of the targets respondents evaluated. Ideologues paired with another ideologue expected more agreement or disagreement than non-ideologues—even with the same level of observed (dis)agreement—especially if they grasped ideological consistency.
May 27, 2025 at 12:37 PM
First, I show that there is a clear difference in affective response between opinion divergence and simple mismatch (issue by issue)—a distinction often conflated in prior literature. Second, I show that the same disagreement leads to different levels of affinity depending on ideological alignment.
May 27, 2025 at 12:37 PM
While many studies link animosity to disagreement and ideology, they often focus on partisans and overlook the belief systems framework. I study the mass public, focusing on ideologues with a) non-ambivalent beliefs and b) ideologically aligned belief structures. I contrast them to non-ideologues.
May 27, 2025 at 12:36 PM
🔍 Testing other effects, I examine whether ideological alignment differs for parties that blur ideological positions or have niche programs. These factors matter only marginally— on one issue domain and only in extreme cases.
April 14, 2025 at 1:17 PM
📊 Aiming for a comprehensive approach, I use two measurement strategies—multilevel regression and belief network modeling—to test this within and across countries. Asymmetry mostly holds, except on social issues, where the situation is symmetric in 2016 data.
April 14, 2025 at 1:17 PM
Finally, the manuscript includes helpful diagrams illustrating how issue alignment and identity-issue alignment (specifically ideological identity) function. While these concepts are well-established, they are not used as much as they deserve to be.
March 17, 2025 at 5:45 PM
These effects persist across generations, independent of religiosity. Beyond the main findings and robustness tests, this study also serves as a valuable source of insight into issue alignment and ideological identity alignment within each country at four points in time.
March 17, 2025 at 5:44 PM
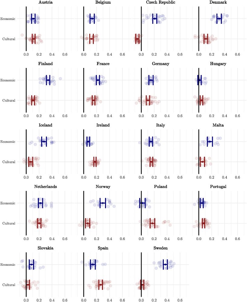
✝️Contrary to the view that culture wars are new, I argue deep-rooted Protestant and Catholic traditions shape divides, with Catholic countries more aligned. 📈 Economic development plays no role—divides run North-South, not East-West.
March 17, 2025 at 5:43 PM
📢Proud to share my first publication in European Union Politics, now online and #OpenAccess! I examine which of 19 European countries (1990–2017) saw culture wars emerge in public opinion. I analyze how opinions and identities on morality and economic issues aligned into distinct ideological camps🧵
March 17, 2025 at 5:43 PM
The blame, however, continues to this day, almost a year after the assassination attempt. Its scope has even widened to include alleged interference by foreign powers (incl. EU) and small parties. The opposition continues to refute accusations but does not engage in counter-blaming.
March 13, 2025 at 10:27 AM
We use @prl.bsky.social data from Global survey to check how support of violence in Slovakia compares to other countries. It is rather low, especially for severe violence.
March 13, 2025 at 10:27 AM
Slovaks largely reject severe violence, with minimal support for lethal attacks. However, greater support for illegal protests and vandalism reflects the contentious atmosphere of current anti-government protests, though it does not escalate into more severe violence.
March 13, 2025 at 10:26 AM
Politicians are the main targets of blame, but 8.7% blame only opposing media or foreign countries. Among government supporters, opposing media are frequently blamed, while foreign countries are the least blamed by both sides.
March 13, 2025 at 10:26 AM
Using a large-scale survey (N=1,358), we examined blame attribution for the Slovak PM assassination attempt. Nearly a third blamed actors beyond the attacker, with stark divides: ~50% of government supporters vs. ~20% of opposition. Opposition politicians largely avoided blame attribution.
March 13, 2025 at 10:25 AM
In May 2024, a lone shooter attacked the Slovak prime minister. Despite calls for unity, governing officials blamed the opposition for inciting violence. Ten months later, we still observe its effects on people's attitudes and support for political violence. A 🧵 based on a new survey.
March 13, 2025 at 10:25 AM
It was a thrill to be a visitor at @ipz.bsky.social and ETH Zurich. Thank you to everyone who made my stay so pleasant. I hope we will have the chance to meet again soon.
December 9, 2024 at 10:04 AM
🚨 Call for Papers 🚨
Come and join us in Brno to figure out consequences of political polarization. Early-career researchers are especially encouraged to apply. We are currently negotiating travel grants.
Details 👇

Help us reach more younger scholars by sharing this post.
September 23, 2024 at 1:57 PM
Autumn in New Hampshire has to be one of the most beautiful things I've ever seen.
November 4, 2023 at 2:58 AM