ATS G&G Section
banner
ats-gg.bsky.social
ATS G&G Section
@ats-gg.bsky.social
Official account of American Thoracic Society-Genetics and Genomics Section. Follow us to get updates on 'Omics' in Lung, Critical Care and Sleep medicine.
Reposted by ATS G&G Section
Welcome Ekamdeep Sandhu, an MSc Candidate at McMaster University in Canada. Ekamdeep’s research leverages advanced quantitative lung imaging to characterize mucus plugging in asthma, and investigate therapeutic responses to biologics and airway clearance therapies 💊

More here: tinyurl.com/4chpcbs7
November 12, 2025 at 11:26 PM
Reposted by ATS G&G Section
Are you an in-training or early-career PhD scientist, clinical educator, or clinical scientist aiming for success in academic medicine? If so, apply for admission to the ATS 2026 New Faculty Boot Camp in Orlando, FL! Applications are due 1/5/2026.

#ATS_PHD #ATS2026
November 13, 2025 at 2:01 PM
Reposted by ATS G&G Section
Today is World Kindness Day! Kindness is something there is never enough of in the world. What will you do today to spread kindness?
November 13, 2025 at 2:24 PM
Join us on Nov 17th 1pm ET/10am PT for Democratizing Lung Functional Genomics with AI, presented by Nathan Salomonis @nathansalomonis.bsky.social from @cincychildrens.bsky.social ! Register @ thoracic.zoom.us/webinar/regi... @ats-assemblies.bsky.social @ats-aii.bsky.social @ats-rcmb.bsky.social
Welcome! You are invited to join a webinar: Democratizing Lung Functional Genomics with AI. After registering, you will receive a confirmation email about joining the webinar.
In this webinar, Nathan Salomonis, PhD, from Cincinnati Children's Hospital will review bioinformatics and genomics resources provided through the LungMAP.net website. Dr. Salomonis is the co-PI of th...
thoracic.zoom.us
October 24, 2025 at 11:40 PM
Reposted by ATS G&G Section
Reflections from the First 5 Years of ATS Scholar
@atscommunity.bsky.social #medsky

🔗 tinyurl.com/46easakk
tinyurl.com
September 26, 2025 at 4:21 PM
Reposted by ATS G&G Section
The latest issue of the #AJRCCM is now live!

Take a look: www.atsjournals.org/toc/ajrccm/c...

@atscommunity.bsky.social #medsky
September 26, 2025 at 8:44 PM
Reposted by ATS G&G Section
The 2026 ATS New Faculty Boot Camp will have tailored sessions for the Basic (PhD) Scientist track. Also, for the first time, non-U.S./Canadian residents can apply for admittance to the 2026 Basic (PhD) Scientist track! Registration details coming soon for 2026!
September 18, 2025 at 3:01 PM
Reposted by ATS G&G Section
I was so excited to organize a webinar between #ATS and #JRS (the Japanese Respiratory Society). The trickiest part was the timezone! Join us: Nov 11th 6 pm EST (Nov 12th 8 AM in Japan), featuring Dr. Russ Bowler (ATS G&G, CCF) and Dr. Edahiro (JRS, Osaka Univ.) 🇺🇸🇯🇵🫁 @ats-gg.bsky.social
American Thoracic Society | Frontiers in Omics: Translational…
The American Thoracic Society is the world's leading medical society dedicated to accelerating the advancement of global respiratory health through…
site.thoracic.org
September 24, 2025 at 1:31 AM
Reposted by ATS G&G Section
A Cross-Species and Sex-Specific Meta-Analysis of Transcriptomic Studies of Pulmonary Hypertension
@atscommunity.bsky.social #medsky

🔗 tinyurl.com/5n8x57ye
September 9, 2025 at 3:52 PM
Reposted by ATS G&G Section
Transcription Factor EB SUMOylation in Airway Epithelial Cells Impairs Lysosomal Biogenesis to Promote Asthma Development
@atscommunity.bsky.social #medsky

🔗 tinyurl.com/yr6k9mc3
September 11, 2025 at 2:53 PM
Reposted by ATS G&G Section
Research Priorities for Translating Endophenotyping of Adult Obstructive Sleep Apnea to the Clinic: An Official American Thoracic Society Research Statement
@atscommunity.bsky.social
#flindersuniversity #FHMRI #AISHSleepClinic #medsky

🔓Open Access

🔗 tinyurl.com/563beh6b
September 16, 2025 at 4:02 PM
Reposted by ATS G&G Section
Bubble Trouble: Epithelial Extracellular Vesicles and Their microRNA Mischief in Chronic Obstructive Pulmonary Disease
@atscommunity.bsky.social #medsky

🔓 Open Access

🔗 tinyurl.com/mruw58a3
Bubble Trouble: Epithelial Extracellular Vesicles and Their microRNA Mischief in Chronic Obstructive Pulmonary Disease | American Journal of Respiratory Cell and Molecular Biology
tinyurl.com
September 18, 2025 at 3:44 PM
Reposted by ATS G&G Section
COPD Airway Epithelial Cell–derived Extracellular Vesicles Spread Cellular Senescence via MicroRNA-34a

EVs produced by small airway epithelial cells participate in disease progression by transferring miR-34a
@louisedresp.bsky.social @imperialnhli.bsky.social #medsky

🔗 tinyurl.com/bdevth6f
September 18, 2025 at 3:45 PM
Reposted by ATS G&G Section
Trial Analysis and Interpretation in Critical Care Using the Evidential (Likelihood) Approach: Rationale and Practical Considerations

The Evidential approach bridges frequentist & Bayesian methods in critical care trials
@atscommunity.bsky.social #medsky

🔓 Open Access

🔗 tinyurl.com/28yy7ujk
September 19, 2025 at 2:47 PM
Reposted by ATS G&G Section
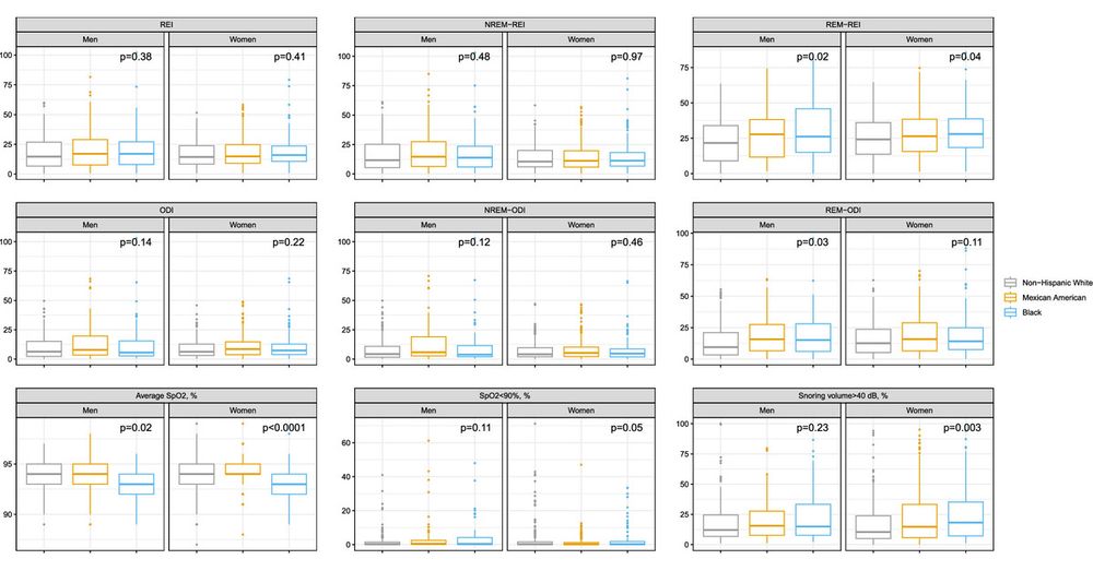
Racial and Ethnic and Sex Differences in At-Home Estimates of OSP Parameters among Diverse Adults

Wake up to sleep disparities: Black adults—especially females—may have more respiratory events during REM sleep than white adults
@atscommunity.bsky.social #medsky

🔗 tinyurl.com/26rb4tu3
September 19, 2025 at 3:02 PM
Reposted by ATS G&G Section
Could decentralized clinical trials be the future? Reynold Panettieri, MD, thinks it presents opportunities for researchers and patients. Hear him describe the BATURA trial, an at-home trial for those with moderate-to-severe asthma, on this ep. of ATS Breathe Easy.

Watch now: youtu.be/FWSdQCT247M
September 19, 2025 at 5:30 PM
Reposted by ATS G&G Section
We want to thank our amazing postdoctoral Researchers during national post doc week! Our division has over 20 postdocs and their dedication to advancing science, mentoring trainees, and driving innovation in research is deeply valued and appreciated. THANK YOU!
September 19, 2025 at 8:48 PM
Multiomics approach to evaluating personalized biomarkers of allergen immunotherapy https://www.jacionline.org/article/S0091-6749(25)00796-1/fulltext
https://www.jacionline.org/article/S0091-6749(25)00796-1/fulltext
www.jacionline.org
September 11, 2025 at 6:46 PM
Plasma nontargeted metabolomics study of H1N1 and H3N2 influenza in children https://pubmed.ncbi.nlm.nih.gov/40256448/
June 27, 2025 at 5:13 PM
Smart contours: deep learning-driven internal gross tumour volume delineation in non-small cell lung cancer using 4D CT maximum and average intensity projections https://pubmed.ncbi.nlm.nih.gov/40251610/
June 26, 2025 at 5:11 PM
A multidisciplinary approach towards modeling of a virtual human lung https://pubmed.ncbi.nlm.nih.gov/40251169/
June 25, 2025 at 5:11 PM
Real-world application of targeted next-generation sequencing for identifying molecular variants in Asian non-small-cell lung cancer https://pubmed.ncbi.nlm.nih.gov/40247220/
June 24, 2025 at 5:10 PM
RNase1-driven ALK-activation is an oncogenic driver and therapeutic target in non-small cell lung cancer https://pubmed.ncbi.nlm.nih.gov/40246819/
June 23, 2025 at 5:08 PM
Carbon black induced pulmonary fibrosis through piR-713551/PIWIL4 targeting THBS2 signal pathway https://pubmed.ncbi.nlm.nih.gov/40246476/
June 22, 2025 at 5:07 PM